一種新型蝶閥調節特性的研究
闡述了在普通蝶閥的基礎上,加設適當幾何結構配流板的方法,使普通蝶閥具有線性流量特性,并用數值模擬計算出閥門的流量特性。然后搭建實驗平臺,驗證了閥門的流量特性,結果表明該流量控制閥具有良好的線性調節功能和高精度的流量控制。
在工程中,線性流量特性調節閥的優點是單位行程的變化所引起的流量變化是不改變的,在解決供熱、空調系統中的水力失調、冷熱不均等問題上得到了廣泛的運用。現有的線性調節閥一般為座閥,但現有的座閥會使管道內流動阻力增大,造成能量損失較為嚴重。“十二五規劃”國家提出了明確的節能計劃,為了大力推廣國家提出的節能減排計劃筆者設想在蝶閥閥板上安裝能實現線性流量特性的配流板,使這種新型的蝶閥具有線性流量特性和結構簡單,流動阻力小,流通能力大等優點。
1、閥體的創新設計
閥門流量公式:

式中:Qs為設定流量,ΔP為閥門兩端的壓差,Kvs為流量系數,θ為閥門開度,θmax為閥門最大開度。
當滿足式
閥門的流量能力與閥芯的通流面積有對應的關系,即閥門的開度決定閥門的通流面積,為了獲得閥門的線性流量特性,希望設計的閥門的通流面積與開度呈線性關系,因此對閥芯進行合理機械結構設計是獲得線性流量特性的關鍵。根據以往積累的經驗,設計對稱折板閥芯結構,如圖1所示。

圖1 對稱折板閥芯示意圖
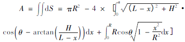
其中通流面積的算法,采用面積投影的方法進行計算。其結構幾何參數包括:折板高度、折板寬度、折板相對位置(折板夾角始終保持直角)。其中折板的特殊位置使得折板相對位置與折板的寬度耦合,即此閥芯的結構參數為2個:折板高度和折板寬度,閥門的通流面積取決于這2個參數,通流面積的計算公式如下:

式中:A為通流面積;R為管道半徑;a為x坐標上某位置,隨閥門開度變化取不同值;L為折板寬度;H為折板高度;θ為閥門開度。
分別選取不同的折板高度和折板寬度計算通流面積與閥門開度的關系,找到合適的尺寸參數,選取適當閥芯尺寸以實現閥門的線性流動特性,文中采用的管道取不同折板高度H和折板寬度L時,通流面積隨相對開度變化的曲線如圖2所示。

圖2 不同折板閥體的開度與通流面積的關系
對比每組的閥門開度與通流面積的關系數據,選取最接近線性關系的參數作為折板的結構尺寸,即選擇折板寬度為8mm,折板高度10mm。
2、數值計算
采用工程中應用比較廣泛的RNGκ-ε三維湍流模型和非結構化網格的SIMPLE方法。對不同閥門開度θ、不同來流速度條件下的閥門內流場分布進行了數值模擬,入口采用速度入口邊界條件;出口采用自由流邊界調節,收斂條件為速度和湍流的殘差值均小于0.0001。
計算結果收斂后,通過對閥前2D~閥后5D的管道截面的壓力場和速度場進行分析,得到閥前、閥后截面壓力等值線云圖,如圖3、圖4所示。

圖3 閥前截面壓力等值線云圖

圖4 閥后截面壓力等值線云圖
由式(1)以及數值計算所得到的結果,可得到閥板在不同θ下的Kvs值,然后利用公式


圖5 對稱折板模型相對開度與相對流量系數
關系曲線-數值模擬結果
圖5中,對稱折板模型從30°~90°共7種開度下的流量系數值具有良好的線性特性。通過線性擬合,得到擬合曲線方程為:

3、實驗研究
為了驗證數值模擬的計算精確度問題,論文專門搭建了實驗測試平臺,實驗裝置如圖6所示。

圖6 實驗裝置圖
通過調節旁路調節閥來改變被測蝶閥兩端的壓差,利用計算機快速數據采樣和信號處理得到通過蝶閥的流量Q兩端壓差ΔP以及其他實驗數據,如表1所示。
表1 閥門不同開度下的實驗數據(流量:m3/h;壓差:kPa)

擬合數據,得到實驗流量特性公式如下:

在相對開度0~1的范圍內,對比兩實驗數據和數值模擬數據可得兩者最大相對誤差為4.6%,滿足設計目標流量誤差低于5%的要求,可見誤差在可接受范圍內。將模型的數值模擬流量特性曲線和實驗測量流量特性曲線進行比較,結果如圖7所示。

圖7 閥門流動特性曲線的數值模擬和實驗測試數據對比
由圖7可知,折板配流板的線性流量特性改善了普通蝶閥在大開度范圍調節時流量變化緩慢的缺點。同時,維持了蝶閥在小開度范圍調節時較好的線性流量特性,數值模擬和實驗所得的流量特性曲線線性度都較好,相互之間差值較小,這說明以通流面積曲線作為參考,設計蝶閥配流板的可行性。也說明了折板狀配流板,可以使普通蝶閥獲得線性的流量特性。
4、結論
該文介紹了添加折板狀配流板進行優化設計的方法,此種折板狀配流板不僅加工制造較為簡便,同時使蝶閥的通流面積在大開度條件下的變化率增大,實現比較理想的線性流量特性。
實驗研究表明這種控制蝶閥產品具有理想的線性流量調節特性,在調節精度、調節范圍方面都有明顯的改進和提高,論文成果在工程中有重要的應用價值。