氣動蝶閥式壓力調節器的工作特性及發展趨勢
從20世紀90年代初國內開始研制蝶閥式空氣壓力調節器以來,先后研制生產出QDF-45、QDF-46、CYT-20、CYT-32、CYT-33、QYT-20等多種產品型號,經歷了由相對壓力調節向絕對壓力調節的過渡。隨著我國航空技術的不斷發展和日趨成熟,大型民用客機等先后立項并進入研制階段,其環控系統對引氣壓力調節器功能的精確性和工作穩定性都提出了更高的要求,研究影響高溫蝶閥式絕對壓力引氣調節器調節精度及工作穩定性的主要因素及相應的解決措施這一課題迫在眉睫。本文以高溫大流量引氣壓力調節器為例,對上述問題進行全面的分析和論證。
一、主要技術要求
(1)工作介質:空氣。
(2)使用高度:-500m~18000m。
(3)工作環境溫度:-55℃~+70℃。
(4)工作介質溫度:正常360℃,最高450℃。
(5)入口壓力范圍:0.45MPa~1.5MPa(絕對)。
(6)流量:正常800±100kg/h,最大1300±100kg/h。
(7)調壓特性:當入口壓力在0.45MPa~1.5MPa(絕對)、流量分別為800±100kg/h和1300±100kg/h時,產品出口壓力應滿足0.4±0.025MPa(絕對)。
二、方案設計
根據技術要求,產品原理方案必須保證以下條件:(1)在-500m~18000m高度范圍內實現引氣壓力的精確調節。(2)在高壓、大流量、長時間的工作條件下實現良好的工作穩定性。為此,擬定其原理方案如圖1,原理方塊圖如圖2。
工作原理:
產品為氣動壓力控制結構,分為氣動控制氣路、反饋氣路和主氣路三個氣路。


當進口壓力通過氣濾到達先導閥,先導閥將其減壓為恒定控制壓力通往兩位開關。若控制氣路電磁閥通電,控制壓力經過超壓控制閥到達控制腔,推動膜片組件與蝶閥聯動,打開蝶閥,出口壓力經節流后進入反饋腔,膜片組件在控制腔壓力、反饋腔壓力、彈簧力及蝶閥所受的氣動力共同作用下,達到力平衡,使蝶閥達到需要的開啟角,實現壓力調節的功能。如果因某種原因,出口壓力升高(或降低),反饋壓力跟著升高(或降低),進而控制膜片組件上移(下移),使蝶閥開啟角減小(或增大),實現出口壓力趨于恒定。
若電磁閥斷電,控制氣路被切斷?刂茐毫Σ荒艿竭_控制腔,膜片組件和蝶閥將在彈簧力的作用下而關閉主氣路。
三、影響因素分析
從蝶閥結構原理及所建立的數學模型中可以看出,膜片組件是整個產品的執行機構,因此,對影響產品工作穩定性和調節精度的因素分析,就是對膜片組件受力的影響分析,以下對膜片組件的干擾情況及相應解決措施進行分析。
1、對控制腔壓力的分析
控制腔壓力的方程為:

由公式(1)可以看出,先導閥的輸出壓力范圍的大小直接影響控制腔壓力范圍的大小;當因系統壓力波動等原因產品出口壓力產生一個ΔP的增量時,產品控制腔壓力會在超壓控制閥的作用下迅速降低,并通過膜片組件的作用使蝶閥開度減小,產品的調壓特性在瞬間內收斂至正常狀態。從而避免產品調壓特性的波動,提高其穩定性。增加超壓控制閥前后開關特性曲線對比如圖3。

2、對反饋腔壓力的分析
對絕對壓力調節器來說,為了得到其調壓特性不受大氣環境壓力的影響,反饋腔壓力是將產品出口壓力節流后得到的一個適當壓力值,該壓力的穩定性直接影響產品的調壓特性。
主通道與反饋腔之間的等效直徑d由其石墨漲圈的密封性能決定,在蝶閥進行開關前后石墨漲圈密封性能的變化情況又無法準確測量,而且在現有技術條件下,近500℃的高溫環境,無法保證完全密封。那么還有減少因主通道向反饋腔漏氣對反饋腔壓力影響的方法嗎?
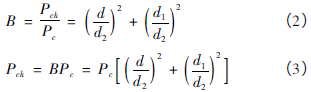
關于節流系數的方程:

式中,B為反饋氣路節流系數。
由公式(2)、(3)可以看出,等效直徑d值可以看成是在某一范圍內變化的一個量。當增大節流孔直徑d1時,可以減小因等效直徑d的變化對反饋氣路節流系數變化量的影響,也就是說,在Pc不變的情況下,可以增加反饋腔壓力Pck的精度和穩定性,從而提高整個蝶閥的調節精度和工作穩定性。

從流量連續性方程也可以得出同樣的結論,如圖4所示,G1是我們預先設定的流量,G2是我們不希望有的干擾流量,G3是排氣總流量,當增大預先設定的流量G1時,就會減小干擾流量G2對總排氣流量G3的影響。
3、對蝶閥氣動力的分析
蝶閥所受的氣動力,是由于氣體的流動而產生的,始終是使閥門關閉的力,由于其非線性的特點,只要蝶閥處于工作狀態,它就會干擾蝶閥的調壓。如何避開或者是減小氣動力的影響呢?
根據測得的蝶閥氣動力系數和前面所建立的數學模型,利用計算機數字仿真技術,當Pr=0.4~1.5MPa,Pc=0.4±0.025MPa,B=
0.54596,G4=1300kg/h,K=3N/mm,d1=0.3,d2=0.375,得出蝶閥氣動力矩反作用在膜片組件上的分力與調壓彈簧力的仿真結果如表1,繪制其變化曲線如圖6所示。


從表1和圖5可以看出,當蝶閥開度越大時,蝶閥氣動力矩反作用在膜片組件上氣動力分量的線性越好;當蝶閥開度越小時,蝶閥氣動力矩反作用在膜片組件上氣動力分量的線性越差,在進行產品設計時,應盡可能使蝶閥工作在氣動力分量的線性區,但由于飛機系統要求的減壓比等因素的限定,往往不能使產品完全工作在線性區范圍內,調壓彈簧力就不能起到較好抵消作用在膜片組件上的氣動力分量,蝶閥氣動力就會對產品調節精度產生較大影響。
在這種情況下,通過計算機仿真計算,找到以下兩種可以減小氣動力影響程度的措施:
一是在先導閥輸出壓力允許、橡膠膜片能夠承受且產品不需要在較低壓力下進行開關特性的情況下,增大調壓彈簧剛度,相應提高控制腔和反饋腔壓力,從而減小因作用在膜片組件上的氣動力分量的變化對膜片組件的影響程度。
二是在產品空間允許的情況下,可以加大搖臂的長度,減小作用在膜片組件上的氣動力分量,從而降低對膜片組件的影響程度。
下面將調壓彈簧剛度由1.5N/m提高到3N/m,將搖臂長度從15mm加長至20mm后,重新對產品的調壓特性進行數字仿真如圖6所示。
由圖6產品調壓特性曲線對比看出,產品調節精度由±0.02MPa提高至±0.01MPa。

四、試驗驗證
上述措施落實到了高壓引氣控制閥×××產品上,經試驗驗證,其工作穩定性好,調節精度大幅提高,其實測調壓特性如圖7所示,經與仿真結果圖6對比,達到了預期的目的。

五、結語
綜合上述分析,得出以下結論:
一是在控制氣路上增加超壓控制閥可以改善產品進行開關特性時的超調量。
二是適當增加反饋氣路節流孔直徑,由φ0.3mm增加到φ0.8mm,可以明顯改善產品的工作穩定性。
三是在產品空間允許的情況下,可以加大搖臂的長度,可以減小作用在膜片組件上的氣動力分量,從而降低對膜片組件的影響程度。
四是在先導閥輸出壓力允許、橡膠膜片能夠承受且產品不需要在較低壓力下進行開關特性的情況下,增大調壓彈簧剛度,相應提高控制腔和反饋腔壓力,從而減小因作用在膜片組件上的氣動力分量的變化對膜片組件的影響程度。
上述結論均已在×××高壓引控制閥上得到充分的試驗驗證,效果明顯,具有很強的實用價值。
參考文獻:
[1]徐華航.實用氣體力學[M].北京:北京航空學院出版社,1987.
[2]壽榮中,何慧姍.飛行器環境控制[M].北京:北京航空航天大學出版社,2004.
[3]陳康寧.機械工程控制基礎[M].西安:西安交通大學出版社,2006.
[4]吳宗澤.機械設計師手冊[M].西安:機械工業出版社,2008.