球閥中應用滾動軸承研究與分析
球閥被廣泛的應用在石油煉制、長輸管線、化工、造紙、制藥、水利、電力、市政、鋼鐵等行業,流體阻力小,全通徑的球閥基本沒有流阻,緊密可靠,但球閥的啟閉扭矩是反映球閥性能的關鍵參數之一,它是指閥門開啟或關閉所必須施加的作用力或力矩,是閥門在介質壓力作用下動作的一項綜合技術指標。隨著時代發展,進入21世經以后,生產和制造技術有了顯著優化提高,為了解決球閥減輕啟閉力矩,降低成本,滾動軸承在球閥中得到應用,使其啟閉扭矩明顯降低,延長使用壽命,操作性能顯著提高。
1、結構設計
在輸送礦漿用球閥、水煤漿工況用球閥等大口徑固定球閥,閥桿采用防塵和防噴出設計,在結構上確保閥桿只承受閥門啟閉力矩,介質的推力由上、下支承軸承擔,使閥桿的受力情況有了很好改善,保證閥桿能夠長期可靠地工作,上下支承軸均設置有滾動軸承和滑動軸承,由此降低閥門的操作力矩。如圖1、圖2所示。小徑口浮動球閥,閥桿軸頸處設計滾動軸承與密封圈。如圖3所示。

圖1 固定球閥上承軸結構

圖2 固定球閥下承軸結構

圖3 浮動球閥閥桿軸頸結構
2、球閥的摩擦力矩分析
球閥的轉矩計算是確定驅動裝置的功率及主要零件強度計算的基礎。轉矩大小決于摩擦力矩和介質流經閥門所產生的動水力矩。動水力矩是由于轉軸兩動水作用力不等而引起的力矩,是在啟閉件脫離閥座密封圈封面后,在介質流動中產生的。它和密封面間的摩擦力矩不會同時產生,在數值上一般小于密封面的摩擦力矩。摩擦力矩一般包括:啟閉件與閥座密封面之間的摩擦力矩,閥桿與填料間摩擦轉矩,閥桿與軸承之間的摩擦力矩等。如圖4所示。

圖4 球閥轉矩與開度關系
由圖4可以看出在球體開啟的瞬間,轉矩具有最大值。因為這時密封副受到的密封力最大(要承受最大壓差及預緊力作用)。隨著開度增大轉矩逐漸下降,雖然在12°~14°時又略有升高,但總的來說,最大轉矩發生在開啟瞬間。因此,計算分析閥桿力矩時,按最大壓差(即處于全關狀態下)進行。在這一階段,只有摩擦力矩而無動水力矩。如圖5所示。

圖5 密封面上任意受力分析
設密封面上任一點A的坐標為A(x,y,z),轉軸L(即z軸)的方程為

A點到L距離為

由幾何關系分析,摩擦力的方向是沿A點處繞軸旋轉的切向方向并與旋轉度方向相反,則摩擦力為

摩擦力矩為

摩擦總力矩為

3、閥桿力矩計算
閥門在石油、化工、電力、城建和工業企業的給排水、供熱及供氣系統中有著廣泛的應用。存些系統中使用的球閥通常處于常開或常閉狀態,當一個長期處于關閉狀態的球閥需要開啟時,關閉與開啟的力矩最很大。
固定球球閥的閥桿力矩計算公式:
MF=MQG+MFT+MZC (6)
固定球球閥的球體與閥座密封面間的摩擦力矩計算公式:
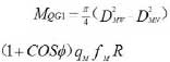
MQG=MQG1+MQG2 (7)
由閥座對球體的預緊力產生的摩擦力矩計算公式:

由介質工作壓力產生的摩擦力矩計算公式:

浮動球球閥閥桿力矩計算公式:
MQF=MQF+MFT+MZC (10)
浮動球球閥的球體與閥座密封面間的摩擦力矩計算公式:
MQF=MQF1+MQF2 (11)
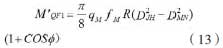
進口端閥座密封面與球體間的摩擦力矩計算公式:
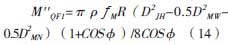
MQF1=M'QF1+M''QF1 (12)
進口端閥座對球體預緊力產生的摩擦力矩計算公式:

介質對進口閥座的作用力而產生的摩擦力矩計算公式:

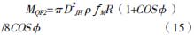
球體與出口閥座密封面間的摩擦力矩計算公式:

填料與閥桿間摩擦力矩計算公式:

軸承產生的摩擦力矩計算公式:

式中 MF——球閥的閥桿力矩,N.mm;
MQG——固定球球閥的球體與閥座密封面間的摩擦力矩,N.mm;
MQG1——由閥座對球體的預緊力產生的摩擦力矩,N.mm;
MQG2——由介質工作壓力產生的摩擦力矩,N.mm;
MQF1——進口端閥座密封面對球體預緊力產生的摩擦力矩,N.mm;
M'QF1——進口端閥座對球體預緊力產生的摩擦力矩,N.mm;
M''QF1——介質對進口閥座的作用力而產后的摩擦力矩,N.mm;
MQF2——球體與出口閥座密封面間的摩擦力矩,N.mm;
MFT——填料與閥桿間摩擦力
MZC——軸承產生的摩擦力矩,N.mm;
DMW——閥座密封圈與球體接融面外徑,mm;
DMN——閥座密封圈與球體接融面內徑,mm;
DJH——活動閥座外徑,mm;
dQJ——軸頸,mm;
R——球體半徑,mm;
Φ——球體與密封圈與球體接融面內徑,(°);
qM——球體最小預緊比壓,MPa
P——設計壓力,MPa
fM——球體與密封面間摩擦因數(對聚四氟乙烯密封面fM=0.05,對卡普隆密封面fM=0.1~0.15,對鋼密封面fM=0.3)
fZ——軸承摩擦因數(用聚四氟乙烯制的滑動軸承為0.05~0.1,滾動軸承為0.002,鋼與鋼0.30,鋼與青銅為0.20)
假設DN200-1.6MPa,活動閥座外徑DJH為240mm,軸頸為50mm;DN50-1.6MPa,活動閥座外徑DJH為68mm,軸頸為25mm;從上面公式(17)可以得出,DN200-1.6MPa用滾動軸承可以減輕閥桿力矩539N.m;DN50-1.6MPa用滾動軸承可以減輕閥桿力矩27N.m。
4、滾動軸承受力分析
滾動軸承在工作中,在通過軸心線的軸向載荷(中心軸向載荷)Fa作用下,可認為各滾動體平均分擔載荷,即各滾動體受力相等。當軸承在純徑向載荷Fr作用,下如圖6所示,內圈沿Fr方向移動一距離δ0,上半圈滾動體不承載,下半圈各滾動體由于個接觸點上的彈性變形量不同承受不同的載荷,處于Fr作用線最下位置的滾動體承載最大,其值近似為5Fr/Z(點接觸軸承)或4.6Fr/Z(線接觸軸承),Z為軸承滾動體總數,遠離作用線的各滾動體承載逐漸減小。對于內外圈相對轉動的滾動軸承,滾動體的位置是不斷變化的,因此,每個滾動體所受的徑向載荷是變載荷。

圖6 滾動軸承徑向載荷的分析圖
5、當量動載荷計算
軸承的基本額定動載荷是在假定的運轉條件下確定的;休d荷條件是:向心軸承僅承受徑向載荷,推力軸承僅承受純軸向載荷。實際上,軸承在大多數應用場合,常常同時承受徑向載荷和軸向載荷,因此,在進行軸承計算時,必須把實際載荷轉換與確定額定動載荷條件相一致的當量動載荷。當量動載荷的一般計算公式為:
P=XFr+YFa (18)
式中
P——當量動載荷,N;
Fr——徑向載荷,N;
Fa——軸向載荷,N;
X——徑向動載荷系數;
Y——軸向動載荷系數。
6、額定靜載荷計算
對低速旋轉或緩慢擺動的軸承,應分別計算額定動載荷和額定靜載荷。取其中較大者選擇軸承。額定靜載荷的計算公式為:

式中 C0——基本額定靜載荷計算值,N;
P0——當量靜載荷,N;
S0——安全因數,靜止軸承和緩慢擺動或轉速極低的軸承S0見表1;
C0r——軸承尺寸及性能表中所列徑向基本額定靜載荷,N;
C0a——軸承尺寸及性能表中所列軸向基本額定靜載荷,N。
當量靜載荷計算公式:
a=0的向心滾子軸承,徑向當量靜載荷P0r=Fr;
向心球軸承和a≠0的向心滾子軸承,徑向當量靜載荷

(X0為徑向靜載荷系數,Y0為軸向靜載荷系數);
a=90°的推力軸承,軸向當量靜載荷P0a=Fa;
a≠90°的推力軸承,軸向當量靜載荷P0a=2.3Frtanα+Fa;
7、滾動軸承的摩擦力矩算
滾動軸承主要有:滾動體與滾道之間的滾動摩擦和滑動摩擦;保持架與滾動體及套圈引導面之間的滑動摩擦等。其大小取決于軸承的類型、尺寸、載荷、轉速等。軸承的摩擦力矩一般計算公式為:
M=μFd/2 (20)
式中
M——軸承摩擦力矩,N.mm;
μ——軸承摩擦因數;(滾針軸承-滿針μ為0.0025~0.0040;滾針軸承-有保持架μ為0.0020~0.0040;單向推力球軸承μ為0.0013~0.0020;角接觸球軸承μ為0.0018~0.0025)
F——軸承載荷,N,

d——軸承內徑,mm。
8、需要的最小軸向載荷計算
在滾動軸承在運轉中滾動體受離心力矩作用,滾動體和滾道之間產生相對滑動,導致軸、座圈分離,為保證承正常工作,必須施加一定的軸向載荷預緊。所需的最小軸向載荷公式為:
對推力球軸承:

對推力圓柱滾子軸承、推力圓錐滾子軸承:

對于推力調心滾子軸承:

對于推力滾針軸承:

式中
Famin——需要的最小軸向載荷,kN;
Fr——徑向載荷,kN;
C0a——基本額定靜載荷,kN;
A——最小載荷常數;
n——轉速,r/min。
9、滾動軸承材料選擇
滾動軸承材料必須具有的特性:接觸疲勞強度高、硬度高、純潔度高、耐磨性好、組織穩定性好、機械加工性能好。材料的選擇,設計人員依據球閥使用工況和環境下工作要求而定,如表1所示。
表1 常用滾動軸承常用材料

10、滾動軸承裝配注意事項
滾動軸承在球閥很重要,通過多年球閥裝配實踐,提出了滾動軸承裝配的方法和要點,按要點裝配可有效的提高軸承裝配質理,從而保證滾動軸承在球閥中起到的作用,總結出如下軸承裝配方法。
1)裝配前檢查項目及要求
利用千分尺、內徑量表核對軸孔及軸承尺寸是否符合要求,0-260mm內徑軸承的過盈量0.01-0.03mm;加熱前,仔細檢查軸承外觀是否有損傷、裂紋,保持架完整、無缺陷;裝配前必須清理和清洗干凈,不得有毛刺、飛邊、氧化皮、銹蝕、切屑、油污、著色劑和灰塵等。
2)裝配過程中的注意事項
軸承采用機油和軸承加熱器加熱進行熱裝,溫度不得超過100℃;需用錘擊軸承時,應墊紫銅棒、鋁棒等;采用潤滑脂的軸承,裝配后應注入相當于軸承空腔容積約50%的符合規定的清潔潤滑脂,凡稀油潤滑的軸承,不準加潤滑脂;可拆卸軸承時,必須嚴格按原組裝位置,不得裝反或與別的軸承混裝,可調頭裝的軸承,裝配時應將軸承的標記端朝外。
3)裝配后檢查項目及標準
在同軸的兩個軸承中,必須有一個可以隨軸熱膨脹時產生軸向移動,熱膨脹間隙ΔL,一般不大于0.5mm;滾動軸承裝好后,用手轉動應靈活;軸承內圈應緊靠軸向定位端面,其允許最大間隙,對圓錐滾子軸承和角接觸軸承為0.05mm,其他軸承為0.1mm。
11、預測的不確定性
不管按什么設計方法,實際軸承能否達到計算的性能,常常不能斷定,這主要是因為根據尺寸對扭矩能否減少的影響來判斷時,就會發現由于實際制造公差使尺寸變化非常大。運轉中滾動軸承可能由于裝配不當、潤滑不良、水分和異物侵入、腐蝕、過熱、和過載等原因造成過早其損壞;即使在安裝、潤滑和使用維護都正常的情況下,經過一段時間的運轉,軸承也會出現疲勞剝落和磨損。滾動軸承雖然結構簡單,但失效形式卻表現在多樣性,主要的失效形式有:
1)疲勞失效
疲勞是滾動軸承失效的主要形式,常表現為滾動體或內外圈滾道表面脫落或蛻皮,初期是在接觸表面形成不規則凹坑,而后逐漸延伸成片,沖擊載荷造成振動和噪聲的加劇,交變的疲勞應力是造成疲勞剝落的主要原因,有時也與潤滑不良或強迫安裝有關,而通常所說的軸承壽命即是指軸承的疲勞壽命。
2)磨損失效
磨損是滾動軸承失效的另一常見形式,是軸承滾道、滾動體、保持架、座孔或軸頸由于機械原因引起的表面磨損。磨損造成軸承游隙增大、表面粗糙度增加,軸承運轉精度降低、振動和噪聲增大。磨粒(塵埃、導物的侵入)及潤滑不良造成磨損的根本原因。
3)腐蝕失效
潤滑油、水份或濕氣產生的化學腐蝕,電流通過引起電火花而產生的電腐蝕及軸承內外圈與座孔或軸頸存在微小相對運動形成微振腐蝕是滾動軸承腐蝕失效的三種表現形式,表面腐蝕導致高精度軸承精度一喪失而失去其功能。
4)斷裂失效
滾動軸承零件材料有缺陷和熱處理不良,運行中過載、轉速過高、潤滑不良或裝配不善造成過大的熱應力等可能引起軸承零件軸承出現裂紋或斷裂、加速其劣化。
12、總結
上述的結構經長期適用運行證明,滾動軸承在球閥應用,閥門操作力矩小。不管固定球閥,還是浮動球閥都要防塵結構設計,防止細小顆粒進入滾動軸承,避免滾動軸承卡死失效;根據球閥適用工況正確選用滾動軸承的材料,不同介質溫度、耐腐選用滾動軸承材料不同,軸承材料選擇恰當直接關系到能否滿足機構的功能與使用要求,對軸承工作性能和疲勞壽命具有決定性的影響。