核電站主給水隔離閥關閉引起水錘的分析

2013-05-26 蔡坤 上海核工程研究設計院

  分析了核電站主給水隔離閥關閉引起的水錘,計算了閥門閥瓣受到的水錘動力載荷,討論了降低水錘載荷的方法。

1、概述

  在核電站發生事故的情況下,設計要求隔離閥必須在5s 內關閉,將核島與外界隔離,避免輻射泄漏。對于大流量系統,隔離閥快速關閉會產生水錘,對閥門和管道產生動力作用,因此真空技術網(http://www.hzwlsy.com/)認為系統設計中必須考慮水錘產生的影響。

2、水錘原理

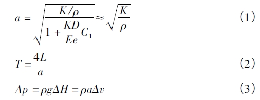
  當管路中的閥門因某種原因動作時,使得流體發生瞬態變化,閥門上下游壓力隨之改變。若閥門動作速度很快則產生壓力突變,壓力突變以聲波的形式沿管道傳播,形成水錘。管道內聲速a、水錘周期T 和流體的壓力突變幅值Λp 為

核電站主給水隔離閥關閉引起水錘的分析

  式中a———管道內聲速,m /s;T———水錘周期,s;Λp———閥門快速關閉產生的直接水錘壓力,MPa;K———體積彈性模量,MPa;ρ———流體密度,kg /m3;D———流體直徑,mm;e———管道壁厚,mm;Δv———流體速度變化,m /s

核電站主給水隔離閥關閉引起水錘的分析

3、水錘載荷計算

  當閥門完全關閉時間小于水錘半周期時,水錘為直接水錘,載荷較大。當閥門完全關閉時間大于水錘半周期時,水錘為間接水錘,載荷較小。

  根據水錘的現象和理論公式,水錘載荷計算有圖解法、特征線解法和有限差分法。水錘專用計算軟件大部分使用特征線解法,本文使用通用熱工流體分析軟件RELAP5 計算,RELAP5 用于水錘分析可以得到接近二階的計算精度,并且RELAP5能夠分析水和蒸汽兩相流體,處理空泡、閃蒸、氣泡和冷凝潰滅等問題。

3.1、理論解對比

  為驗證RELAP5 計算的合理性,使用RELAP5分析簡單的水錘模型,其結果與理論值對照。以閥門快關模型( 圖1) 為例,計算水錘載荷。管道型號為355. 6 × 20mm,三段管道的長度分別為4.878m、9.3m 和3.878m,上游流體的壓力為5.651MPa,溫度為493.15K,流速為3.58m /s。

閥門快關模型

圖1 閥門快關模型

  上游閥門快速關閉,根據式(3) 得到下游管道產生的水錘壓強為3.83MPa。使用HYTRAN 程序計算水錘(圖2) 。使用RELAP5 程序建立流體模型,得到計算結果(圖3) 。對比理論計算、HYTRAN軟件計算和RELAP5 計算的結果(表1) ,RELAP5的計算結果與理論解吻合,與HYTRAN 的計算結果一致,RELAP5 用于分析水錘比較準確。

HYTRAN 水錘載荷

圖2 HYTRAN 水錘載荷

RELAP5 水錘載荷

圖3 RELAP5 水錘載荷

3.2、工程實例分析

  以某核電站用主給水系統隔離閥快關工況為例,計算水錘載荷。根據管系ISO 圖建立RELAP5分析模型。泵上游入口為恒壓源(6.0MPa) ,輸入泵的流量- 揚程特性,流體出口為蒸汽發生器,簡化為恒定壓力源(5.5MPa) 。

表1 水錘計算結果對比

水錘計算結果對比

  從穩態分析得到主給水管穩定的流動狀態,核對流動參數與設計值的誤差,誤差在工程允許范圍內。再進行瞬態分析,設置隔離閥的關閉曲線(圖4) ,得到瞬態壓力分布,處理流體狀態參數后得到水錘載荷。對比各管段的水錘載荷,最長管段的水錘載荷最大(圖5) 。由于水錘周期很短,隔離閥關閉產生間接載荷,與直接水錘相比,間接水錘載荷較小,不過載荷峰值仍有12e3N,波動峰值約8e3N,閥門兩邊壓差最大3MPa。

隔離閥關閉曲線

1.修改前  2.修改后

圖4 隔離閥關閉曲線

主給水隔離閥快關時主給水管線上的最大載荷

1.修改前  2.修改后

圖5 主給水隔離閥快關時主給水管線上的最大載荷

4、降低水錘載荷方法

  降低水錘載荷的方法有延長閥門關閉時間和增加緩沖裝置等方法。受系統要求限制,閥門關閉時間不能延長,增加緩沖裝置會增大系統整體的失效概率。為降低水錘載荷,需考慮調整閥門關閉曲線。閥門關閉過程的不同階段,對水錘載荷大小的影響不同,起始階段道截面積變化率小,載荷較小。完全關閉之前面積變化率大,關閉速度過快會產生較大載荷。因此若要降低水錘載荷應提高起始階段的閥門關閉速度,降低完全關閉前的閥門關閉速度。調整后流體產生的水錘載荷發生變化,關閉后的壓力振蕩減小,關閉過程產生的峰值稍有降低。

5、結語

  建立了使用RELAP5 分析水錘的方法,論證了方法的合理性,結合工程實際計算了核電站主給水隔離閥快速關閉引起的水錘載荷,調整閥門關閉曲線,降低了水錘載荷。