先導式雙向電磁閥的初始建壓過程分析與計算

2009-04-29 羅強 航天發射技術及特種車事業部

1、先導式雙向電磁閥的建壓過程

         當雙向電磁閥不工作時, 常閉主閥瓣與常開主閥瓣以及先導閥瓣均處于自由位置。電磁閥進口初始通氣瞬間, 氣體進入電磁閥后除作用于常開主閥瓣和先導閥瓣外, 還有一路作用于常閉主閥瓣上,使常閉主閥瓣開啟。但是由于氣控壓力很快會到達常閉控制腔內將常閉主閥瓣壓緊, 故正常情況下常閉主閥瓣開啟時間很短, 開度很小, 常閉腔內氣體壓力很低, 可以忽略其影響。但是, 如果由于某些原因使氣體沒有及時到達常閉控制腔, 那么常閉主閥瓣的開啟時間加長, 開度增大, 常閉腔內會建立一定壓力, 有可能對下游設備產生影響, 因此需要對初始建壓過程進行詳細分析。雙向電磁閥建壓過程除需要進行作用力分析外, 還涉及到氣動力學中的相關知識。

2、先導式雙向電磁閥的建壓壓力和時間

(1) 正常情況

         正常情況下, 常閉主閥瓣在通氣瞬間略微開啟后, 會在一個極短的時間內在常閉控制腔氣體的作用下被壓緊密封。電磁閥密封副采用刀口線接觸密封(圖2),刀口頂部是半徑r=0.3~0.4mm的半圓面, 與減壓閥瓣的下平面線接觸。當接觸線的寬度很小, 且施加載荷后的接觸應力較大時, 接觸線附近將變形為接觸面。與這種金屬閥座相對應, 配置以硫化橡膠作為襯墊的主閥瓣。

先導式雙向電磁閥的密封副結構 

圖2  密封副結構

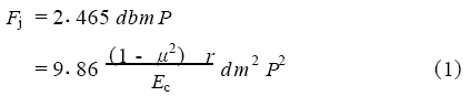
          由于電磁閥初始建壓時, 接觸變形是在彈性范圍內, 故應力與應變關系符合線性虎克定律。假設接觸表面很光滑, 無微觀不平度, 接觸體間的壓力垂直于接觸面, 那么閥瓣接觸面上的壓力以橢圓形分布, 刀鋒直徑d 處最大。于是, 接觸面上的最小擠壓密封力是

最小擠壓密封力

式中 Fj ———閥瓣的最小擠壓密封力, N

         d ——閥座的刀鋒直徑, mm

         b ——接觸線寬度, mm

         r ——刀鋒的曲率半徑( r = 0.3 ~ 0.4) ,mm

         μ——襯墊材料的泊松系數

         Ec ——襯墊材料的彈性模數, MPa

         m ——襯墊材料的墊片系數

         P ——工作壓力(絕壓) , MPa

         考慮到接觸面的貼平力和摩擦力等因素, 在最小擠壓密封力Fj 的基礎上根據試驗結果得出關閉力Fgm的經驗公式

           該關閉力等于常閉主閥瓣上下作用力之差。由于控制腔通道很短, 故可設常閉控制腔內壓力與常閉腔出口壓力相同, 均為P , 因此有

         將A k 和A q 代入式( 3 ) 后可得P =0.136MPa (絕壓) , 即表壓為0.036MPa , 從理論上計算該壓力很小, 如果考慮到主閥瓣開啟還要克服摩擦力和開啟時間等因素, 正常情況下常閉腔內壓力會更小, 且建壓時間極短, 可以忽略。

(2) 異常情況

          當由于某些原因控制腔內沒有及時建壓, 則常閉控制腔壓力(設為P1 ) 將小于常閉腔出口壓力(設為P2) , 即P1Ak - P2Aq < Fgm 。由于常閉主閥瓣作用力小于密封力, 常閉主閥瓣不能立即關閉密封, 那么常閉腔出口壓力便會大于01036MPa , 造成異常建壓, 在極限情況下( P1 = 0MPa) , 常閉腔主閥瓣開啟后, 出口通大氣, 可近似視為等溫流動狀態, 設出口氣體流動達到音速, 根據氣體動力學, 則有