雙級溢流閥先導閥供油流道布局分析

2014-03-30 訚耀保 同濟大學機械與能源工程學院

  為適應重大裝備雙級溢流閥的壓力穩定性要求,采用帶平衡活塞結構的溢流閥作為先導閥,實現減振穩壓的效果,其先導閥必須通過斜長孔從閥芯側面供油,這種側向通油流道極易導致偏心、阻塞或卡死現象,加大了結構設計的難度。為此,該文采用CFD 流體計算仿真方法,分析不同的流道布局對閥性能的影響,取得了先導閥供油流道的孔數、孔徑和位置等優化參數。

引言

  重大裝備工作過程中不可避免地會產生振動、沖擊、加速度,對用于壓力控制的溢流閥穩定性要求很高。為提高穩定性,液壓系統采用帶平衡活塞結構的雙級溢流閥進行穩定壓力控制, 雙級溢流閥的平衡活塞式先導閥芯與閥體形成固定節流器, 將先導閥腔分成壓力感受腔和控制腔兩腔, 通過節流反饋來控制輸出壓力,具有減振、消聲、穩壓三合一綜合功能。

  為分析先導閥供油流道的不同布局對閥性能的影響, 本文采用計算流體力學方法研究主閥與先導閥內部流道的三維流場, 準確地得到流道參數對閥特性的影響,確保溢流閥具有最佳動態特性。

1、雙級溢流閥機理和理論分析

  1.1、機理分析

  如圖1 所示為帶平衡活塞和容腔的雙級溢流閥原理圖。圖中,Qp為液壓泵流量;QL為負載流量;ps為供油壓力;V1為主閥前腔體積;V2為主閥彈簧腔體積;V3為先導閥壓力控制腔體積;V4為先導閥壓力感受腔體積;Q1為主閥前腔至彈簧腔的流量;Q2為自主閥流入先導閥流量;Q3為平衡活塞間隙節流量;Q、Qx為主閥和先導閥的溢流量;p2為主閥彈簧腔壓力;p3為先導閥壓力感受腔壓力;p4為先導閥壓力控制腔壓力。

雙級溢流閥原理圖

1-主閥2-主閥與先導閥連通部分3-先導閥4-主閥閥芯5-主閥彈簧座即先導閥閥體6-先導閥閥芯

圖1 雙級溢流閥原理圖

  該雙級溢流閥通過細長孔節流供油給先導閥,并通過平衡活塞結構將先導閥腔分為壓力控制腔V3和壓力感受腔V4的兩個獨立容腔(如圖1b),通過先導閥供油孔液阻以及活塞間隙液阻來減弱壓力感受腔V4的壓力p4隨供油壓力波動的趨勢,從而達到減振、消聲、穩壓的效果。為此,先導閥供油流道無法軸向供油,而必須通過在主閥彈簧座5(即先導閥供油流道)上打細長斜孔從側向供油。這種側向流道極易導致產生不平衡液動力,造成偏心甚至閥芯卡死,而且為起到一定的液阻作用,對細長斜孔的通流面積也有限制,因而,其孔數目、分布及尺寸將直接影響溢流閥的工作性能。

  1.2、理論分析

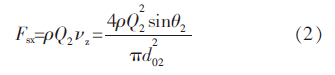
  如圖1b 所示,當雙級溢流閥采用單一孔結構為先導閥供油時, 油液流過該細長斜孔時將產生軸向和橫截面方向的液動力,且直接作用在先導閥芯上,其橫向液動力為

雙級溢流閥先導閥供油流道布局分析

  式中νh———先導閥供油孔中油液流速的水平分量,h表示水平;

  Q2———自主閥流入先導閥的流量,2 指先導閥,1為主閥;

  θ2 ,d02———先導閥供油孔的傾斜角和內徑;

  ρ———油液密度,840kg/m3。

  同理可得軸向液動力:

雙級溢流閥先導閥供油流道布局分析

  式中νz———連通孔中油液流速的垂直分量,z 表示垂直;

  圖1 所示雙級溢流閥先導閥供油采用單孔流道,孔的傾斜角為30°,內徑1.2mm。當溢流閥開啟溢流時(溢流壓力24MPa), 自主閥流入先導閥的流量約為6.3L/min,由此可以計算單孔流道油液對先導閥閥芯的軸向作用力約為4.1N, 可能導致先導閥的開啟特性不穩定。而橫向作用力約為7.1N,可能導致閥芯卡死。若通過多個均勻分布的孔供油, 則可消除橫向液動力并減小軸向液動力。

3、實驗與分析

  在某伺服機構樣機試驗中,當采用圖2a 所示單孔流道的雙級溢流閥時, 壓力工作點無法穩定在規定的24MPa,而是隨著通油壓力的升高而持續上升,與第2節計算結果一致。采用圖2b 所示六孔流道結構雙級溢流閥進行樣機試驗時,壓力工作點可以穩定在24.5MPa處,但是噪聲劇烈,噪聲儀讀數超過60dB。圖2c 所示三孔流道結構孔徑過小, 在實際應用中極易阻塞且難于加工。