雙級氧氣減壓閥的改進

2010-02-10 嚴仁興 上海氣體閥門總廠

  介紹了雙級氧氣減壓閥的性能及受力情況。分析了彈簧剛度和膜片形狀及膜片有效面積對閥門流量的影響。論述了閥門結構改進的方法及效果。

1、概述

  雙級氧氣減壓閥(型號YQJ11) 的額定壓力為15MPa, Ⅰ級出口壓力3MPa, Ⅱ級出口壓力0~1.6MPa可調。由于雙級減壓, 安全可靠, 該閥多年來受到廣大客戶的歡迎。但是其在公稱壓力116MPa時的100m3 /h額定流量不能滿足日益發展的生產需要, 為此通過改進閥門結構提高了減壓閥的流量。

2、性能

2.1、工作原理

  雙級氧氣減壓閥(圖1) 是一種簡單的雙級壓力調節器。由于閥門下部受進氣壓力作用, 閥門上部受出氣壓力作用, 閥門上受到不平衡的作用力,故稱背壓式減壓閥。該閥在原始狀態時, 進氣閥在復位彈簧的作用下處于關閉狀態, 輸入和輸出不通, 輸出口無氣壓輸出。若順時針旋轉調節螺釘,調壓彈簧壓縮, 推動閥桿下移, 進氣閥門被打開,在輸出口有氣壓輸出。若逆時針旋轉調節螺釘, 調壓彈簧放松, 作用在膜片上的氣壓力大于彈簧力,進氣閥在下部進氣壓力和復位彈簧的作用下隨膜片向上移動, 氣體流通面積減少, 減壓作用加強, 輸出壓力下降。該閥右側是高壓級, 左側是低壓級。額定15MPa的氣源壓力p1 從進氣口經過銅粉末冶金濾網進入高壓級減壓閥, 經減壓后的出口壓力p2 調節到3MPa, 高壓級出口的氣體又進入低壓級減壓閥, 經過第二次減壓后壓力降為p3 從出口輸出, 出口壓力的調節范圍為0~1.6MPa。

YQJ11雙極氧氣減壓閥

1.調節螺釘 2.調節彈簧 3.碟形膜片 4.閥桿 5.進氣閥門 6.復位彈簧

圖1 YQJ11雙極氧氣減壓閥

2.2、受力分析

  減壓閥的受力分析如圖2所示。閥處于平衡狀態時, 力的平衡方程為

F1 +A0 p2 =A1 p2 +A0 p1 + F2 (1)

  式中p1、p2 ———輸入、輸出壓力, MPa
    A1 ———膜片有效面積, mm 2
    A2 ———閥瓣有效面積, mm 2
    F1 ———調壓彈簧力, N
    F2 ———復位彈簧力, N

減壓閥受力分析

圖2 減壓閥受力分析

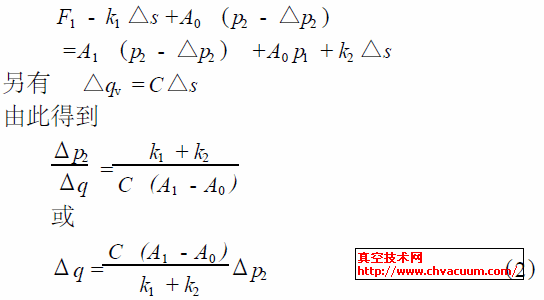
  如果閥的輸入壓力不變, 輸出流量變動△qv所對應的進氣閥門開度波動為△s, 引起輸出壓力變動△p2 , 當達到新的平衡狀態時, 力的平衡方程為

  式中k1 ———調壓彈簧剛度, N /mm
    k2 ———復彈彈簧剛度, N /mm
    △s———閥門開度變化量, mm
    C———閥門開度與流量的比例關系

  式(2) 表示了減壓閥的流量特性, 它指出了改善流量特性有兩種方法。一是減小彈簧剛度之和, 二是增大膜片的有效面積。

3、改進措施

3.1、減小低壓級減壓器調壓彈簧剛度

  從式(2) 看出減小彈簧剛度之和, 可以提高減壓閥的流量。YQJ11雙級減壓閥的高壓級額定輸入壓力16MPa, 輸出壓力3MPa, 調壓彈簧直徑8mm、剛度750N/mm, 彈簧負荷5 620N。低壓級的輸入壓力3MPa, 輸出壓力1.6MPa, 彈簧負荷2 800N,僅為高壓級彈簧負荷的1/2, 可是選用的彈簧硬度卻與高壓級彈簧相同, 復位彈簧的剛度也是相同為13.5N /mm。根據分析可以看到, 低壓級調壓彈簧的剛度過硬, 嚴重影響了雙級減壓閥的輸出流量。為此, 根據實際工況條件設計了不同直徑和剛度的彈簧用于低壓級減壓閥, 并將低壓級的出口壓力分為0 ~0.6MPa、0.6 ~1.0MPa 和1.0 ~1.6MPa三個等級, 根據不同的壓力級設計不同的調壓彈簧, 壓力高的彈簧硬, 壓力低的彈簧軟。經過測試, 出口壓力低時輸出流量明顯提高(表1) 。隨著彈簧尺寸的改變, 閥門型號改為YQJ11A、YQJ11B和YQJ11C。

表1 雙級減壓閥空氣流量測試

表1 雙級減壓閥空氣流量測試 

3.2、調整膜片形狀

  從式(2) 看出, 膜片的有效面積A1 越大, 減壓閥的流量也就越大。經過反復的測試和研究確定,碟形膜片的有效面積比平膜片小(表2、表3) 。但原有的高壓減壓閥采用有效面積小的碟形膜片, 是為了滿足出口壓力高和結構緊湊的要求, 這樣才能在出口壓力高的情況下減小調節彈簧的負荷, 也就減小了調節彈簧的結構尺寸和減壓閥的結構尺寸。

 表2 YQJ11B型δ014膜片有效面積表3 YQJ11C型δ0125膜片有效面積

 

  減壓閥的出口通徑Dn 與活門通徑Dz 的合理比值對于空氣介質為0.6, 即減壓閥的出口通流面積An 與活門通流面積Az 的合理比值為2.78。YQJ11低壓級減壓器Dz = 7, Dn = 8, (An /Az ) =1.6 (活門通道中頂桿直徑3mm ) , An /Az 小于2.78。YQJ11B 輸出壓力降到了1.0M Pa, 在確認出氣口強度允許的情況下, 將出氣口的通徑由8mm 增大到10mm, An /Az 由1.6增大到2.5, 這項改進, 進一步提高了閥門輸出流量。

4、結語

  輸出流量是減壓閥的一個重要參數, 在滿足輸出壓力的前提下, 應該盡可能的提高輸出流量, 以最大程度的滿足用戶需要。通過對YQJ11 型減壓閥設計合理的彈簧, 減小調壓彈簧的剛度、使用合適的膜片, 加大膜片有效面積, 加大出口通徑等措施, 提高了減壓閥的輸出流量, 改善了減壓閥的流量特性, 擴大了減壓閥的使用范圍。