電站用氣動式截止閥的選型與設計

2010-02-08 張建華 南通市電站閥門有限公司

1、概述

  用于火電廠高加疏水、再熱器疏水和過熱器疏水等系統疏放水的關閉與排放閥門密封要求高, 須快開快閉, 并具有故障保護功能、自動控制功能和較高的可靠性。因此氣動控制截止閥(電廠俗稱疏水閥, 疏水門) 成為這類系統的首選產品。氣動控制截止閥密封比壓持久穩定, 調試簡單, 維護要求低, 故障低, 可靠性高, 失氣失電自動保護,快速啟閉, 價格相對低廉, 節能環保, 因而適用于火電廠疏放水工況。

2、閥門及氣動執行機構的選型

  氣動控制截止閥一般為全開全閉式。從流量特性考慮, 截止閥和球閥具有啟閉行程短, 速度快,密封可靠, 啟閉靜態力矩小等特點, 因而兩類產品都得到應用。但從可靠性考慮, 主流產品仍然是氣動截止閥。

  氣動控制裝置的氣缸為定型產品, 依作用方式可分單作用和雙作用兩種。單作用產品帶復位圓柱彈簧, 具有失氣自動復位功能, 即失氣時氣缸活塞(或膜片) 在彈簧作用下, 驅動氣缸推桿回復到氣缸初始位置(行程的原始位置) 。雙作用氣缸無復位彈簧, 推桿進退須依靠變換氣缸氣源的進出口位置。氣源從活塞上腔進時, 推桿向下運動。氣源從活塞下腔進時, 推桿向上運動。由于不帶復位彈簧, 雙作用氣缸對比同徑單作用氣缸具有更大的推力, 但不具備自動復位功能。顯然不同的進氣位置使推桿有不同的方向運動。當進氣位置在推桿的背腔時, 進氣使推桿前進, 這種方式稱為正作用氣缸。反之進氣位置在推桿同側時, 進氣使推桿后退, 這種方式稱反作用氣缸。氣動截止閥因為一般需要失氣保護功能, 通常選用單作用氣缸(圖1) 。

單作用氣缸

(a) 正作用式 (b) 反作用式

圖1 單作用氣缸

  從分析可知, 當閥門保護方式為失氣打開時,必須選擇單作用的正作用氣缸。當閥門的保護方式為失氣關閉時, 必須選擇單作用的反作用氣缸。單作用的正作用氣缸在閥門關閉時必須維持持久的穩定氣源壓力, 對氣源的穩定性和持久性要求較高常閉閥盡可能地避免選擇這種設計, 此結構適用于常開閥。單作用的反作用氣缸適用于常閉閥, 但對于彈簧的要求較高, 應具有穩定持久的彈力。

3、氣缸推力計算

  除了作用方式的選擇, 計算所選氣缸推力是計的重要工作, 以常見的常閉式氣動截止閥(圖2) 為例分析。因壓力較高, 為盡可能選擇較小的氣缸, 采用了上進流(倒流) 的閥門設計方式。為提高密封比壓, 采用了錐形密封面。

氣動截止閥

圖2 氣動截止閥

3.1、氣缸關閉力的計算

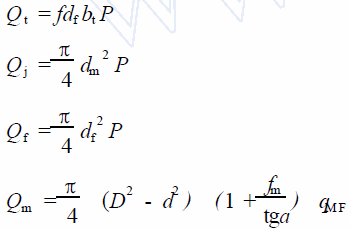
  關閉狀態受力分析如圖3a, 圖中各力為

  式中Qt ———填料摩擦力, N
    Qj ———介質靜壓力, N
    Qf ———閥桿截面的介質推力, N
    Qm ———閥門達到必須密封比壓時的密封面作用力, N
    Qg ———氣缸關閉時輸出力, N
    Qk ———氣缸打開時輸出力, N
    qMF ———密封面必須比壓, MPa
    dm ———密封面平均直徑, mm
    df ———閥桿直徑, mm
    f———填料摩擦系數
    bt ———填料寬度, mm
    P———閥門設計壓力, MPa
    fm ———密封面摩擦系數