雙活塞缸式氣動真空發生器的理論模型研究
本文依據前期的實驗研究結果,將雙活塞缸式氣動真空發生器的活塞運動過程簡化成勻加速、勻速、勻減速3個運動過程,得到了活塞運動速度與系統參數之間的關系,推導了不同運動階段被抽取的真空容器內壓力變化的近似解析表達式,并采用熱量補償的方法對熱交換過程的影響及時地進行修正,通過累加計算,得到了真空容器及吸盤的真空響應過程。
引言
隨著工業自動化生產線中對控制要求日趨嚴格,需要比較精確地得到真空抽氣系統啟動后,吸盤處的真空響應時間。本文介紹的雙活塞缸式氣動真空發生器工作原理如圖1所示,它能在相對較低的供給壓力下迅速達到一般工業上需求的真空度,并且耗氣量相對較低,有利于氣動系統節能。

1—動力腔Ⅰ 2—動力腔Ⅱ 3—真空腔Ⅰ 4—真空腔Ⅱ 5—真空容器 6—真空吸盤 7—吸氣換向閥 8—驅動換向閥
圖1 雙活塞缸式氣動真空發生器工作原理
在真空技術網另文中已建立其數學模型,它是一個微分方程組,通過模型數值求解可以得到各腔室壓力變化及運動情況,但是并不能清楚地表示各參數與系統性能指標之間的關系,為了能夠更加深入了解它們的內在聯系,加快求解速度,通過本文的研究,希望能夠得到真空吸盤的壓力變化過程與系統結構參數相關的近似解析表達式,便于進行結構優化。
1、運動過程分析
活塞在一次抽氣行程中,真空容器內的壓力變化如圖2所示;钊麊雍,真空腔室和真空被抽容器行程的密閉容積逐漸擴張,使壓力降低,直到接近行程末端時,抽氣換向閥換向,另一真空腔室內的部分氣體回流到被的真空容器中,造成壓力略有上升,在下一個行程活塞反向運動時,運動規律基本一致,這與試驗測得的壓力變化過程是相同的。

圖2 一個運動行程內真空容器的壓力變化過程
通過前期的試驗研究,測得了系統在多組供給壓力和流量下的運動情況,圖3為在如下參數時試驗測得的活塞運動速度曲線:動力腔直徑30mm、真空腔直徑40mm、活塞桿直徑8mm、供給壓力0.21MPa,平均供給流量56L/min,在不同入口真空度時的活塞運動速度形狀大致相同,只是波動的幅度略有不同。從圖3中可以看出,活塞在開始一段為勻加速段,中間處于一個相對變化較小的平臺段,末段為勻減速段(活塞反向運動規律也大致相同)。為了簡化計算,我們假定將一個運動行程內活塞的運動速度分成以下3個階段:勻加速運動、勻速運動和勻減速運動,3個階段的運動時間分別為tA、tB、tC,運動位移為X1、X2、X3,滿足行程關系S=X1+X2+X3。

圖3 一個運動行程內活塞運動速度變化
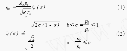
根據真空技術網(http://www.hzwlsy.com/)的研究,質量流量公式可簡化成

式中:pu、pd為上、下游絕對壓力,Pa;
Ae為流道等效流通面積,m2;
R為氣體常數;
Tu為上游絕對溫度,K。
以氣源向動力腔Ⅰ供氣、活塞向右運動為例,其流量還可表示成

因此,根據流量連續性關系得
qm1=q′m1(4)
并且,根據測得的腔內氣體壓力變化情況以及活塞的運動速度大小,氣體流動過程基本是處于亞聲速流動狀態,所以

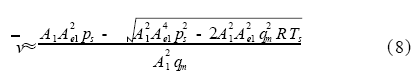
再將式(6)代入式(3),即得到動力腔供給流量與供給壓力、平均速度、結構參數之間的關系,如式(7)所示。

因此,活塞的穩定運動時的平均運動速度v也可用供給壓力和流量及相關參數表示

式中:ps為氣源供給壓力,Pa;
A1為動力腔Ⅰ工作面積,m2;
Ae1動力腔Ⅰ進氣流道等效面積,m2。
2、熱交換的影響
雙活塞缸式氣動真空發生器在抽取真空的過程中,并非在很短的時間內將被抽取容器內的氣體抽出達到一定的真空度,而是一個逐漸抽取的過程,同時也伴隨著被抽取容器內氣體與外界的熱交換過程。所以,在推導真空容器內壓力變化時,必須考慮熱交換過程的影響,并及時地對氣體參數進行修正,這樣才能使得到的結果更加接近實際情況。
根據熱力學第一定律和氣體狀態方程,可以按絕熱容積擴張過程求得被抽取容器內的壓力p′以及溫度,單次抽取真空過程時間約為0.1s,所以可先以絕熱過程推導的溫度與外界溫度之差在過程時間內吸取的熱量作為該運動過程的吸熱量,再對壓力、溫度進行修正,通過這樣的方法來近似模擬實際抽氣過程,計算過程如圖4所示,0→1′→1→2′→2→3′→3。
參與熱交換的這部分熱量流入到真空容器中后,引起的溫度變化量可由式(9)計算。

所以,對真空容器內的溫度和壓力進行修正后為

3、真空壓力變化過程研究
3.1、勻加速運動
同樣,我們以活塞向右運動過程為例對真空容器內壓力變化進行分析。勻加速運動階段是在活塞反向運動啟動后出現的,該過程的加速過程時間短、位移小,通過統計多組不同結構參數下測得的實驗數據,該過程的位移約為3mm,活塞的運動速度為:

再結合流量計算公式(1)、(2)和流量連續性關系(4),最后可求解得到真空容器壓力與抽氣腔室壓力的關系式,見式(14)。

當完成勻加速運動階段后,即t=t0+tA時,根據質量守恒方程,原真空容器中的氣體質量m應等于抽取后真空容器內氣體質量m1與抽氣腔室內氣體質量m2之和,即:

以絕熱容積擴張過程進行計算,可得被抽容器內的溫度為

考慮該階段運動時間內,真空容器與外部的熱交換的影響后,應對溫度和壓力進行修正,代入式(9)—(11)后所得到的p5和T5即為勻加速過程結束時真空容器內的壓力和溫度,同時也作為下一勻速運動階段的起始參數。
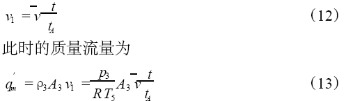
3.2、勻速運動
在這一階段,同樣根據質量流量連續性方程和質量守恒程,可以推導出在完成該階段運動過程,即t=t0+tA+tB時的各參數的關系式:


同樣,在該階段考慮熱交換的影響后,對溫度和壓力進行修正,代入式(9)—(11)計算得到修正后的p5和T5為勻速運動階段結束時真空容器內的壓力和溫度,同時也作為下一勻減速運動階段的起始參數。
3.3、勻減速運動
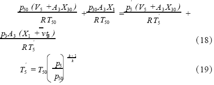
當活塞運動到接近行程末端時,觸發充氣換向閥和抽氣換向閥換向,氣源氣體開始流入動力腔Ⅱ,使活塞減速運動,該過程的運動行程為換向閥的切換行程。在這個過程中,抽氣換向閥換向后,被抽的真空容器與真空腔Ⅱ相連,真空腔Ⅱ內的氣體壓力應為p0+Δp,Δp為單向閥的開啟壓力,大于真空容器內氣體壓力,必定回流到真空容器中去,所以,當活塞運動到行程終點時的質量守恒方程為:

再將相應的溫度變化關系式(19)代入式(22)后求解,得到活塞運動到行程終點,即t=t+tA+tB+tC時真空容器內的壓力為:

然后,再將求得的p′5、T′5代入式(9)—(11)進行修正,得到的p5、T5為勻減速階段完成后真空容器內的壓力和溫度。
以上計算過程將活塞的運動過程分為3個階段,并且將實際的熱交換過程通過溫度、壓力修正的方法進行處理,每個階段所得到的壓力與時間相對應,這樣就可以近似得到一個抽氣行程內真空容器壓力變化情況。當活塞向左運動時,計算過程基本類似,將不通的參數值代入對應的方程即可,通過這樣不斷地將往復抽氣過程進行疊加,可得到我們所需要的真空容器內的壓力變化情況,并且給出的計算式中與結構參數和工作參數相聯系,能夠更好地表示它們之間的互關系。
以上從理論上推導得出了單個抽氣過程中真空容器壓力變化過程,還需通過實驗對之進行驗證,以確定理論推導的正確性,比較實驗結果與理論計算的差異。
4、模型驗證
在理論分析的基礎上,筆者對多組動力腔直徑、供給壓力、供給流量的樣機模型進行了實驗,將測得的真空容器壓力與理論計算結果進行對比,圖8為部分對比結果,對應的實驗參數見表1。
圖8 不同參數下真空容器真空度與理論計算對比

表1 圖8中各組實驗參數

通過圖8中的對比可以看出,在不同參數下實驗數據與理論計算值在線型和數值上誤差均較小,理論計算基本上能夠反映出實際真空容器內的真空壓力變化過程,說明上述的推導過程是可靠的。
5、結論
通過對雙活塞缸式氣動真空發生器前期實驗研究,將活塞在單個行程內的運動過程簡化為勻加速、勻速、勻減速運動,推導出活塞運動速度與系統結構參數和工作參數之間關系,并采用能量補償的方法對抽氣過程實際熱交換的影響進行修正,得到了真空容器壓力變化過程的近似解析表達式及其真空響應過程,更加明確了各參數對真空響應過程的影響。最后,采用實驗的方法進行了驗證,結果表明,理論計算結果與多組參數下的實驗情況都較為符合,證明了采用文中的假設和推導過程是可行的,可為進一步的優化設計提供了依據。