真空發生器結構參數與性能參數關系研究

2009-10-25 鄭欣榮 浙江工業大學機電工程學院

  真空發生器因其具有體積小、質量輕、真空度高、產生真空快、運動部件少、振動小、壽命長、噪音小、安裝方便, 維修簡單、控制方便、可靠性高等優點在汽車、化工、電子、玻璃制造、機械制造、家電制造等行業中得到廣泛地應用。尤其與真空吸盤配合使用, 由于它受力均勻、不損壞工件、響應快、體積小等優點, 所以在搬運易損物品、常規方法難搬運的物品、易產生應力變形物品及微小物品的場合, 有著無可比擬的優勢, 在自動化生產中起著越來越重要的作用。

1、真空發生器的工作原理

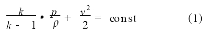
  真空發生器主要由噴嘴和擴張管組合而成(見圖1所示)。氣體一元定常等熵流動的能量方程即可壓縮流體的伯努里方程如下。

伯努里方程

  式中p為壓力; Q為密度; v 為流速; k =Cp/Cv, 其中Cp為定壓比熱, Cv為定容比熱,const為常數。

  將0點的狀態參數代入式(1),由于流出噴管時的流速v0為超音速, 可知該點的絕對壓力p0值很小, 因而可得到所需的真空度。在低壓部S處如果導入二次氣流(G″、PS、TS、vs) , 高速的一次氣流(G′、Pn、Tn) 將與之混合, 并交換動能, 二次氣流被加速,高速的混合氣體通過擴張管減速, 動能再次轉化為壓力能。這樣, 若在S處接入欲抽真空的系統, 則可達到抽真空之目的。

真空發生器工作原理圖

圖1 真空發生器工作原理圖

  該過程的熱力學分析如下: 壓縮空氣G′通過噴管在0處變成超音速氣流, 由于氣流的速度很快,而噴管的尺寸很小, 故氣體在噴管中流動時, 來不及與外界發生熱交換, 可近似地看作絕熱過程。在流動過程中, 氣體的各種參數一般是連續變化的, 摩擦的影響較小, 可以忽略, 因而可近似地看作是可逆過程, 故該過程可近似地看作是等熵過程。整個熱力學過程可用焓—熵狀態變化圖表示(圖2)。圖2 中各點符號與圖1 相對應。N點為噴管進口狀態點;O′為假想等熵過程噴管出口點;O為實際噴管出口狀態點; 3′為擴張管假想等熵過程出口狀態點; 3為擴張管實際出口狀態點。如一次流體從進口壓力Pn經絕熱膨脹后在噴管出口處壓力為P0, 則噴管出口流速v0可由式(2)求出

  式中Gn為速度系數, 一般取0.94~0.96; R為氣體常數, A= k/k-1。圖2中噴管兩端的焓差為

  式中 A 為熱功當量。

  假設真空口吸入壓力PS與噴管出口壓力P0相等, 則混合后的流速v1

  式中 Gm為速度系數, 一般取Gm= 0.95~0.98; X=G′/C″ , 其中G′為噴管內的一次流量, G″為真空口處吸入的二次流量; 混合后的焓值i1為

  擴張管出口處流速為v3, 狀態點1至3過程近似可看成絕熱過程, 則

  式中 Gd為擴張管的效率, 一般取Gd= 0.6~0.8;狀態點1經等熵過程到達3′點, 對應焓值i3′為

  通過3′點的等壓線P3即為擴張管出口的壓力, 實際出口狀態點3的焓值為

狀態變化圖

圖2 狀態變化圖

2、真空發生器結構及性能參數

2.1、真空發生器的性能參數

  真空發生器的主要性能參數有:

  ① 空氣消耗量: 指從噴嘴流出的流量。用基準狀態下的體積流量表示。

  ② 排氣量: 指從真空口吸入的空氣流量。當真空口向大氣敞開時, 其排氣量最大, 稱最大排氣量。

  ③ 到達真空度: 指大氣壓力與真空腔內的絕對壓力之差。當吸入口被完全封閉, 即排氣量為0時,真空腔的真空度稱為最大到達真空度。

2.2、真空發生器的主要結構參數

  真空發生器主要由噴嘴和擴張管組成, 由上述可知噴嘴的作用是將壓縮空氣的能量轉換為動能,產生超音速氣流; 擴張管的作用是使超音速氣流減速以降低排出氣體時的噪音。由氣體動力學可知氣流一元定常等熵流動時通流截面積與氣流的速度間應滿足公式

  式中: f為通流截面積;M為馬赫數,M=v/A; v為氣流的速度; A為當地音速;

  由上式可見, 當流速增加時, 通流截面積究竟擴大還是縮小, 要看(M2-1) 的正負,亦即M>1還是M<1。當流速小于當地音速加速時,M 小于1, (M2-1)為負, df符號與dv相反。故當流速增高時, 氣流截面積應縮小。當流速等于音速時,M=1則M 2-1=0,即df=0,此時氣流截面積達最小值。當流速大于當地音速即超音速時,M大于1, (M 2- 1) 為正, df符號與dv同號, 故當流速增高時, 氣流截面積應擴大。因此, 為了獲得超音速氣流, 噴嘴的截面形狀應當是小于音速加速時先縮小, 當等于音速時為最小, 然后超音速時逐漸擴大, 即采用漸縮漸擴的拉伐爾噴管結構; 同理, 為了使超音速氣流減速, 擴張管的截面形狀應采用超音速減速時先縮小, 當流速等于音速時, 即M=1時截面為最小, 然后小于音速減速時截面逐漸擴大的漸縮漸擴結構。圖3 是真空發生器的噴嘴和擴張管結構簡圖, 噴嘴漸縮角度A建議取120°~140°, 漸擴角度B 建議取14°~16°;擴張管漸縮及漸擴角度C、H建議取6°~8°

真空發生器結構簡圖

圖3 真空發生器結構簡圖