雙活塞缸式氣動真空發生器的改進設計及試驗研究

2010-01-04 潘孝斌 南京理工大學機械學院SMC技術中心

  雙活塞缸式氣動真空發生器相對于目前廣泛使用的射流式真空發生器, 它具有供給壓力低、耗氣量少的優點, 在氣動真空系統中具有很大的應用前景。文中針對原系統中設計的不足, 提出了以一個抽氣換向閥替代原有兩個抽氣單向閥的改進設計。試驗研究結果表明, 改進后系統的主要性能在原有基礎上均有一定程度的提高, 極限真空度可達93kPa, 超過同級別的射流式真空發生器, 在同樣供給流量下, 抽取1L容器真空度達80kPa 時的響應時間減少了12.5%。

  在工業自動化發展過程中, 氣動真空吸取技術已越來越廣泛地應用于各種生產線上, 主要用于吸取易碎、柔軟、薄的非鐵、非金屬材料, 以完成搬運、夾緊或包裝等作業。目前, 在生產線上廣泛應用的真空發生裝置主要為射流式真空發生器, 壓縮氣體通過噴嘴的高速流動從而產生一定的真空度。根據其工作原理決定了它只能在較高的供給壓力下才能達到極限真空度, 并且耗氣量大, 不利于氣動系統節能。真空技術網前文中提出了一種新型的真空發生器PVSCTC- 1( Pneumatic Vacuum System Consisting of Two Cylinders- 1) , 工作原理如圖1 所示, 它可在相對較低的供給壓力下達到較高的極限真空度, 這就有可能直接或接利用氣缸排氣的能量進行工作, 產生真空, 達到氣動系統節能的目的, 在工程應用中具有較高的應用價值。

 雙活塞缸式氣動真空發生器工作原理

1.動力腔Ⅰ 2.動力腔Ⅱ 3.真空腔Ⅰ 4.真空腔Ⅱ 5.連接管道等效容器 6.真空吸盤 7.換向閥

圖1 雙活塞缸式氣動真空發生器工作原理

  這種新型的真空發生器作為一種節能的氣動真空發生裝置, 在滿足基本性能要求的基礎上, 本身應具有較高的能量使用效率, 否則研究意義不大。通過前期的研究發現, 其響應時間和耗氣量這兩個性能指標上較同級別的射流式真空發生器都還存在一定的差距。本文研究的目的正是通過相關的理論分析, 對其不足之處進行改進, 提高整體能力水平。

1、改進設計的理論依據

1.1、極限真空度分析

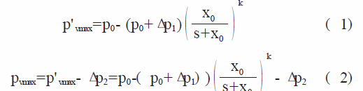
  系統的工作原理在真空技術網另文中已敘述, 當真空腔室無法繼續抽取等效真空容器中的氣體時, 即真空腔室余隙容積中的氣體完全膨脹后的壓力恰等于真空容器中的氣體壓力與抽氣單向閥開啟壓力之和時, 達到了系統的極限狀態, 真空容器達到極限真空度。根據絕熱過程的氣體狀態方程可得, 系統達到極限狀態時真空腔室內與真空容器( 真空吸盤) 所能達到的極限真空度p' vmax、pvmax 分別為:

式中p0———大氣壓力, Pa
  Δp1———排氣單向閥開啟壓力, Pa
  Δp2———抽氣單向閥開啟壓力, Pa
  s———活塞運動行程, m
  x0———真空腔室余隙容積等效行程, m

  由式(1)和式(2)可知, 真空容器內的極限真空度與抽、排氣單向閥的開啟壓力、腔體余隙容積和行程大小都相關, 并且低于真空腔室內的極限真空度, 差值為抽氣單向閥開啟壓力大小,并且抽氣單項閥的開啟壓力對吸盤處所能達到的真空度影響最為直接。例如, 單向排氣閥、吸氣閥開啟壓力為12kPa 時, 若真空腔室內能夠達到的最高真空度為95 kPa, 則真空吸盤處能達到的最大真空度約為83 kPa。由此說明, 在抽氣過程中, 其中有很大一部分的壓力損失在抽氣單向閥處。

1.2、響應時間分析

  系統響應時間是與系統的有效抽速和被抽取容器容積大小相關的, 關系如下:

式中pc———等效真空容器內氣體絕對壓力, Pa
  V———等效真空容器容積, L
  Se———系統有效抽速, L/min

  在特定的工作場合下, 被抽取的容器大小或連接的管道長度一般都是固定的。因而, 系統的有效抽速得到了提高, 系統響應時間也就響應減少了。而系統的有效抽速是由真空發生裝置的自身抽速和抽氣流道的流通性能共同決定的, 在一定的供給流量下, 其自身的抽速是確定的。只能通過提高抽氣流道的流通性能來減少系統響應時間。

  隨著真空容器內的真空度逐漸升高, 真空腔室與真空容器間的壓差逐漸減小, 每個抽氣過程抽氣單向閥的開啟程度也相應減小, 使得真空腔室更加難以從真空容器內抽出氣體, 最終導致系統響應時間增加。所以, 抽氣單向閥對抽氣流道的流通性能以及系統有效抽速都有較大的影響,不利于減少系統響應時間。

  綜上所述, 圖1 中的兩個抽氣單向閥不僅影響了系統極限真空度, 而且在抽氣過程中, 尤是當入口真空度較高時, 其開啟程度的減小也限制了系統響應時間的減少, 需要對系統結構進行相應改進, 提高雙活塞缸式氣動真空發生器的性能水平。