羅茨泵的換熱器的相關計算

2009-08-13 楊乃恒 東北大學

  羅茨泵工作,要用一個冷卻器(或稱換熱器裝在泵的排氣口部位上,這個換熱器要做相應的匹配,如圖16)

  凡是把熱量從一種較熱的流體傳給另一種較冷的流體的設備統稱換熱器。通常使用表面式換熱器。熱流體和冷流體可以平行流動和交叉流動,有“順流”、“逆流”和“橫流”之分。

  熱交換器可以用在多級羅茨泵機組作中間冷卻用,亦可用在氣冷式羅茨泵上。在氣體循環冷卻的羅茨泵中,熱交換器是直接裝在泵的排氣出口,借助已被冷卻的氣體回流到泵腔來作為冷卻氣體,保護泵,防止過載。

  熱交換器有管狀的、翅片式的,前者3KW的電機配1m2冷卻面積,后者1KW的電配1m2冷卻面積。其熱交換器的性能計算,可用下式:

  其換熱面積F為:

 

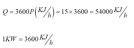
  其計算以壓縮功率為確定熱量Q的基礎。為了防止過熱,熱量必須通過熱交換器給帶走散失。

  舉例:電機功率P=15kw,氣體入口溫度120℃,出口溫度50℃,冷卻水入口溫度30℃,出口溫度為40℃,換熱系數K=50(翅片式)K=80(管狀)(K值適用的壓力范圍從大氣壓到5000pa)

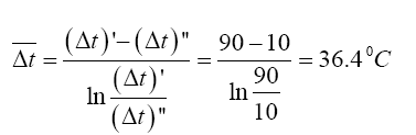
  熱氣體的入口溫度t 1'=120℃,冷氣體出口溫度t 1''=50℃,冷卻水入口溫度t 2'=30℃,冷卻水出口溫度t 2''=40℃,因此,(Δt)' =120-30=90℃,(Δt) '' =50-40=10℃,平均溫差Δt為

  對于翅片冷卻器K≈50

  近似法按1KW配1m2,故15KW為15m2,對于管狀冷卻器,K≈180

  按3KW配1m2冷卻面積,15KW為15m2,計算值與近似值相差1.98倍和1.64倍,由試驗確定為準。

更多相關閱讀:

羅茨泵轉子型線的選擇

羅茨泵轉子間隙的分配

羅茨泵的轉子間隙流導的計算

羅茨泵的壓縮比

羅茨泵的常見冷卻方法

羅茨泵的后冷卻器的設計要求

羅茨泵的換熱器的相關計算