羅茨泵轉子間隙的分配

2009-08-10 楊乃恒 東北大學

  由于羅茨泵腔內無油封,所以轉子之間、轉子與泵殼(端蓋)之間存在一定的間隙。由于間隙的存在,會造成出口側向抽氣腔內返流,使容積效率下降。羅茨泵的實際抽速要低于理論抽速。 即:

S=Sth-ΔS

  其中ΔS包括以下幾項內容,即

ΔS=ΔSF+ΔSSP+ΔSL+ΔSD

式中 ΔSF為充填損失,在抽氣過程進行得非常快的時候,被抽氣體來不及充填吸氣腔,造成吸氣腔內氣體密度降低,使抽速降低。

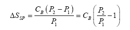
  ΔSSP為間隙損失,經過轉子的間隙由排氣腔向吸入腔返流的氣流量。

  ΔSL為漏氣損失,由于泵體漏氣和軸端漏氣,有一定漏量進入泵的吸氣腔,而使抽速下降。

  ΔSD為吸附損失。由于在排氣側轉子表面吸附氣體轉到吸氣側表面氣體解吸或潤滑油蒸發進入泵腔,而引起抽速下降。

  這些損失之和構成抽氣損失ΔS。其中每一項在ΔS中所占的比例與泵的結構和工作狀態有關,特別是與吸入壓力和排氣壓力有關。在整個工作壓力范圍內ΔSFΔSSP對抽速有所影響。然而ΔSLΔSD,在低壓力范圍內才有意義。測量指出在10-1Torr時,ΔSL+ΔSD之和在數量級上不超過理論抽速的1‰。因此這兩項可以忽略。

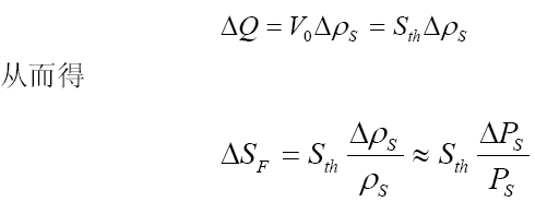
  對于ΔSF來說,在吸氣過程中,由吸入口流進吸氣腔的氣體量Q有最大理論值。

Qth=VOρs

  對于快速的吸氣過程,被抽氣體的密度ρs,由于壓差的損失而減小到ρs'。因此ρs'= ρs-Δρs,從而和Qth相比流入的氣體量減少ΔQ。

  一般轉子的圓周速度u在50m/s以下,經實測其壓差損失相對值(對27℃空氣):

  在u=50m/s時   ΔPs/Ps=6.4E-3

  在u=30m/s時  ΔPs/Ps=2.4E-3

  在u=10m/s時  ΔPs/Ps=0.28E-3

  由此可見,u值越高,則ΔPs/Ps就越大,即ΔSF/Sth值也越大。

  在通常的圓周速度下工作ΔSF/Sth是很小的,故ΔSFSth相比只占6‰,故可以忽略不計。

  這樣一來,總的抽速損失ΔS,實際上只是由間隙返流損失ΔSsp來決定的。ΔSsp是通過一組間隙(圓周間隙、轉子間隙和端面間隙)的損失之和。

  間隙損失的大小除與轉數、兩側的壓力及溫度有關外,還與間隙的尺寸有關,一般間隙尺寸是很小的如表2和表3所示。

  從表2可以看出:在位置1-6處,轉子與泵體的徑向間隙,測量的范圍在0.02mm之間。在7-10及15-18位置處,在轉子水平和垂直位置時軸承游動端的公差相同。而在11-14及19-22位置為軸承固定端的水平和垂直位置的公差范圍相同,其值小于游動端的公差,23-38位置間隙是均勻的,各點位置均處在相同范圍之內。

  羅茨泵的各間隙公差帶可以參考表3數值。值得注意的是對傳動齒輪的側隙也有公差要求,因為它會影響兩個轉子的相位差。

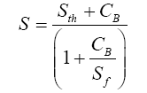
  羅茨泵的實際抽速S可寫成:

S=Sth-ΔSsp

  式中可通過間隙的返流量來計算, 即:

  其中為泵的各處間隙的總流導(l/s) ,P1,P2為泵入口壓力與出口壓力(Pa)

  經過代換,羅茨泵的實際抽速公式為:

  根據氣流量恒等,可得到:SP1=SfP2,式中Sf前級泵的抽速(l/s)

  因此實際抽速S為:

   羅茨泵的實際抽速S和理論抽速Sth、間隙總流導CB和前級泵抽速Sf有關。

  羅茨泵的極限壓力是指泵口密封,長時間運轉,在泵口所能達到的穩定最低壓力P10,這時前級泵也達到了極限壓力P20,因為泵的有效抽氣量Q為零。即

  由此可見羅茨泵的極限壓力與前級泵的極限壓力有關。

更多相關閱讀:

羅茨泵轉子型線的選擇

羅茨泵轉子間隙的分配

羅茨泵的轉子間隙流導的計算

羅茨泵的壓縮比

羅茨泵的常見冷卻方法

羅茨泵的后冷卻器的設計要求

羅茨泵的換熱器的相關計算