羅茨泵的壓縮比

2009-08-12 楊乃恒 東北大學

  在羅茨泵入口壓力為大氣壓時,它的壓縮比,最大值限制在2.15.因為超過這個值,泵的溫升增大,容積效率變低。然而在高真空下運行,較高的壓縮比是允許的。因為入口壓力降低,被抽氣體量減少,對熱的吸收變小,溫升和容積效率均有所改善。由實驗決定溫升系數和入口壓力之間的關系,如圖3所示。

羅茨增壓泵入口壓力與溫升系數的關系曲線 

圖3 羅茨增壓泵入口壓力與溫升系數的關系曲線

 

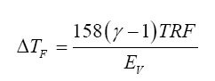
式中 ΔFT——溫升(o F)

  γ——壓縮比

  TRF——溫升系數(見圖3)

  EV——容積效率

  由圖3得知:在入口壓力為200Torr時,則得TRF=1.0,在入口壓力下降時,TRF值也下降,在10-2 Torr時,=0.0027。舉例說明:在入口壓力為10-1 Torr時,壓縮比為10時,計算平均溫升

式中TRF=0.019(入口壓力為10-1 Torr時),EV=0.9。

  由圖3和ΔT計算式可以構成圖4。這是允許的壓縮比和入口壓力之間的關系。

  入口壓力100Torr以上

  壓縮比2.15︰1

  在10Torr時為3︰1

  在1Torr時為9︰1

  在0.1Torr時為40︰1

  這是泵連續運轉的條件,要遵守的。

允許的最大壓縮比與入口壓力的關系曲線 

圖4 允許的最大壓縮比與入口壓力的關系曲線。(吸入口氣體溫度為38℃)

  在入口壓力為大氣壓力時,允許的最大壓縮比近似為2.15,在10Torr時,允許的最大壓縮比為3.3,在入口壓力為0.8Torr時,允許的最大壓縮比為10.圖4上的曲線關系是泵連續運轉時,溫升約為 (107℃)時測得的。若對容器快速降壓過程中,短時間內超過這個允許的壓縮比是可以的。在組成羅茨泵串聯工作的機組時,要注意壓縮比的合理分配。

更多相關閱讀:

羅茨泵轉子型線的選擇

羅茨泵轉子間隙的分配

羅茨泵的轉子間隙流導的計算

羅茨泵的壓縮比

羅茨泵的常見冷卻方法

羅茨泵的后冷卻器的設計要求

羅茨泵的換熱器的相關計算