常用的兩種正壓漏孔校準方法結果的不確定度分析

2009-07-08 張滌新 蘭州物理研究所

定容法測量不確定度的分析

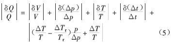
  在測量過程中,由于溫度變化而引起了壓力變化,是漏率測量不確定度的主要來源。通過理論計算和分析,定容法校準正壓漏孔的不確定度為:

  在溫度T絕對不變的理想條件下,漏率的測量不確定度只取決于壓力P,定容室容積V,時間△t溫度T的測量不確定度。通過正確選用測量儀器和制定有關操作規程就能保證這些量值的測量不確定度,也就是式(5)中的前四項足夠小。

  在實際測量中,總有溫度波動存在,式(5)中的最后一項對不確定度的貢獻最大。若要減小這一項不確定度,應盡量增大△p,減小△t 和△Tr。表2中列出了定容法校準正壓漏孔漏率的各項不確定度。

表2 定容法校準正壓漏孔漏率的各項不確定度

  根據實驗測量結果和不確定度分析,表2給出了定容法的測量不確定度,采用方和根法對各分項不確定度進行合成,總不確定度為2.6%~9.1%。

定量氣體動態比較法不確定度的分析與計算


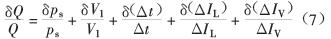
  采用定量氣體動態比較法校準正壓漏孔時,四極質譜計測量的是示漏氣體分壓力所對應的離子流,用式(4)計算,可改寫為:

  根據不確定度的分析方法,如果ps,V1,△t,△IL和△Iv測量不確定度分別為δps,δV1,δ(△t),δ(△IL)和δ(△Iv),正壓漏孔漏率的測量不確定度δQ/Q為:

  根據實驗測量結果和不確定度的分析,標準壓力pa用690型電容薄膜規測量,測量不確定度為0.5%。定量容積測量不確定度小于1.0%。時間用計算機的內部時鐘測量,考慮到開關閥門所用的時間,不確定度小于1.0%。質譜室中的示漏氣體分壓力用四極質譜計測量,不確定度約為10%。表3列出了定量氣體動態比較法的測量不確定度估計值,采用方和根法對各分項不確定度進行合成,總不確定度為14.2%。

表3 定量氣體動態比較法的測量不確定度

小結

  正壓漏孔校準裝置的特點如下:

  (1)用定容法和定量氣體動態比較法對正壓漏孔進行校準,校準范圍為1×102~5×10-5 PaL/s。定容法的校準范圍為1×102~5×10-3 PaL/s,/,測量不確定度為2.6%~9.1%;定量氣體動態比較法的校準范圍為2×10-2~5×10-5 PaL/s,測量不確定度小于14.2%。

 。2)定容法中采用了絕壓法和差壓法測量定容室的壓力,不僅擴展了定容法的測量上限,而且有效地延伸了定容法的測量下限。

 。3)在定量氣體動態比較法中,采用了定量氣體法,解決了累積氣體中未知示漏氣體的定標問題,并延伸校準下限2個數量級,解決了較小漏率的正壓漏孔的校準問題。

 。4)采用了較小容積( <1×10 -2L)累積室累積示漏氣體,有效地增加了示漏氣體的濃度,減少了累積時間,提高了正壓漏孔的校準效率。

 。5)采用壓力衰減法在定容室中配制混合氣體和定量氣體的樣品,利用分子流進樣技術,通過小孔把氣體引入質譜室中,用四級質譜計測量,保證了示漏氣體分壓力測量的重復性。

 。6)定容法與定量氣體動態比較法在重疊測量區間,測量正壓漏孔的漏率,具有較好的一致性。

  目前,該校準裝置已用于正壓漏孔的校準,更深入的研究還在進行之中。

相關文章閱讀:

校準氣體漏率的正壓漏孔校準裝置結構組成

定容法和定量氣體動態比較法校準正壓漏孔比較

正壓漏孔校準裝置實驗研究及性能測試

常用的兩種正壓漏孔校準方法結果的不確定度分析