漏孔漏率校準裝置

2010-01-27 李得天 蘭州物理研究所

1、真空漏孔基礎標準

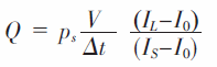
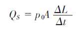
  蘭州物理研究所研制的真空漏孔基礎標準,其核心是一臺恒壓式氣體微流量計。該標準主要由恒壓式氣體微流量計、校準系統、供氣系統和測控系統組成,圖7 所示是其原理結構圖。標準氣體流量由恒壓式氣體微流量計測量和提供,計算公式為:

  式中p0 為參考室中氣體的壓力;A 為活塞的橫截面積;ΔL 為活塞在Δt 時間內移動的距離。變容室采用液壓驅動波紋管結構,恒力矩伺服電機通過平動機構實現活塞的水平運動。在測量中,變容室和參考室之間的壓力差被控制在參考室壓力的0.01%之內,所以變容室內氣體的壓力被認為是恒定的。該流量計的流量測量范圍為(10- 8~10- 2)Pa·m3/s,不確定度小于2%。

真空漏孔基礎標準

1.變容室;2.油室;3.活塞; 4.驅動系統;5.光柵尺6,11,12,13,16,17,24,26,28,29,33,35,37,38,41,43,44,45.隔離閥7.DCDG; 8.參考室,9,10.ACDG;14. 穩壓室;15. 微調閥;18. 校準室;19. 小孔;20.抽氣室;21.四極質譜計;22,23.SRG;25,42. 渦輪分子泵;27,46. 機械泵;30. 恒溫箱;31,32. 被校漏孔;34,36. 壓力表;39,40.校準氣體


圖7 真空漏孔基礎標準

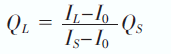
  真空漏孔的漏率測量過程如下:首先,將真空漏孔流出的待校流量引入到校準室中,并通過兩球之間的小孔被抽走,在動態平衡條件下,通過四極質譜計可測量得到一穩定的離子流IL。然后,關閉真空漏孔流出的氣體流量,將氣體微流量計流出的標準流量QS 引入到校準室中,調節流量大小,用四極質譜計可測量得到另一個穩定的離子流IS,最后,真空漏孔的漏率通過式計算:

2、固定流導法真空漏孔校準裝置

  為了延伸真空漏孔的校準下限,蘭州物理研究所研制了一臺固定流導法真空漏孔校準裝置,裝置由固定流導法流量計、校準系統和被校漏孔三部分組成,如圖8 所示。固定流導法流量計如圖8 左邊所示,主要由固定流導小孔、穩壓室、電容薄膜規、氣瓶、閥門、以及抽氣機組等組成,可以根據需要向校準系統提供已知流量的氣體。校準系統如圖8 中間所示,主要由質譜分析室、四極質譜計、超高真空電離規和抽氣機組組成。被校漏孔如圖8 右邊所示,主要由自帶氣室型真空漏孔(如薄膜滲氦型漏孔)、通道型真空漏孔、穩壓室、氣瓶和閥門等組成。氣體通過固定流導小孔的流量用式計算


Q = C(p-p')

  式中C 為一定入口壓力下,特定氣體所對應小孔的流導值,m3/s;p、p' 分別為小孔入口和出口的氣體壓力,Pa;Q 為通過小孔的氣體流量,Pa·m3/s。由于在校準過程中,p 遠遠大于p',且p 的變化量小于0.1%時,上式簡化為式:

Q = Cp

  式中p 用電容薄膜規測量;C 為小孔流導,在分子流條件下,小孔流導值為常量。固定流導法流量計提供的標準氣體流量為(10- 10~10- 5 )Pa·m3/s,合成標準不確定度為2.6%。

固定流導法真空漏孔校準裝置

1,30. 氦氣瓶;2, 28. 微調閥;3,4,8.全金屬隔斷閥;5. 固定流小孔;6.FS13.3kPa 電容薄膜規;7,27. 穩壓室;9.13.3Pa 電容薄膜規;10,18.全金屬超高真空角閥;11,19.分子泵;12,13.電磁隔斷閥;14,20. 機械泵;15. 四極質譜計;16. 質譜分析室;17. 超高真空電離規;21,22,23.手動超高閥門;24,25,26.被校漏孔;29.精密真空壓力表

圖8 固定流導法真空漏孔校準裝置

  采用固定流導法校準漏孔漏率的過程如下:當裝置正常運行,且四極質譜計正常工作一段時間后,關閉所有進氣閥門,用四極質譜計測量質譜分析室中氦氣分壓力所對應系統本底離子流I0,然后打開被校準真空漏孔的閥門,將漏孔待校流量引入到質譜分析室中,在動態平衡后通過四極質譜計測得示漏氣體的離子流IL。關閉被校漏孔對應的氣體引入閥,將固定流導法氣體微流量計流出的標準流量QS 引入到質譜分析室中,調節流量大小,當標準氣體流量產生的離子流IS 與被校漏孔產生的離子流IL 相同或非常接近時,用四極質譜計測量對應氣體的離子流IS,被校漏孔的漏率用公式(6)計算獲得。

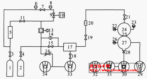
3、正壓漏孔校準裝置

  正壓漏孔校準裝置用于正壓漏孔的校準。正壓漏孔是在一定的溫度下,入口壓力高于一個大氣壓,出口壓力為一個大氣壓的狀態下提供已知漏率的一種漏孔。蘭州物理研究所研制的正壓漏孔校準裝置由定容法系統和定量氣體動態比較法系統組成,其原理結構如圖9 所示。

正壓漏孔校準裝置

1,2. 氣瓶;3,4,7,11,15,19,21. 隔離閥;5. 被校漏孔;6,8,13.ACDG;9. 三通閥;10. 標準體積;12. 定容室Ⅰ ;14.DCDG;16. 調節閥;17. 定容室Ⅱ ;18,28. 插板閥;20,25. 小孔;22,26. 冷陰極電離規;23. 四極質譜計;24. 校準室;27. 抽氣室;29. 離子泵;30,31,33.渦輪分子泵;32,34.機械泵


圖9 正壓漏孔校準裝置

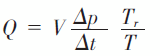
  當用定容法校準正壓漏孔時,在定容室中充入一個大氣壓的空氣,在配氣系統中充入2 個大氣壓的示漏氣體,將正壓漏孔的出口端與定容室相連,入口端與配氣系統相連。當測量開始時,把示漏氣體通過正壓漏孔引入到定容室中,通過測量定容室中的壓力變化計算得到,考慮到溫度的修正,正壓漏孔的漏率計算公式為:

  式中Q 為正壓漏孔的漏率;V 為定容室的容積;Δp 為在Δt 時間內壓力的變化量;Tr 是參考溫度;T 為定容室中的氣體溫度。定容法的校準范圍為(5×10- 6~1×10- 1)Pa·m3/s, 不確定度為9.1%~2.6%。

  為了校準更小的漏率,提出了定量氣體動態比較法。首先,在累積室中充入一個大氣壓的空氣,在配氣系統中充入2 個大氣壓的示漏氣體,把示漏氣體通過正壓漏孔引入到累積室中,經過Δt 時間后,將累積室中的混合氣體膨脹到10 L的大容器中,然后將大容器中的混合氣體通過很小的孔20 引入到校準室中,并由另一個小孔25連續進行抽氣。在校準室24 中達到動態平衡后,通過四極質譜計測量得到一穩定的示漏氣體離子流IL;其次,將定量示漏氣體ps×V(壓力ps 和容積V 均已知)與累積室中一個大氣壓的空氣混合,然后膨脹到10 L 的大容器中,再重復上面的測量過程,可用四極質譜計測量得到另一個穩定的示漏氣體離子流IS。最后,正壓漏孔的漏率Q由公式計算:

  為了增加示漏氣體的靈敏度,累積室的容積應盡可能小,實際上小于10 mL。采用定量氣體動態比較法,校準范圍為(5×10- 8~2×10- 5)Pa·m3/s,不確定度小于14%。

相關文章推薦:

真空計量標準的研制與應用

真空規校準裝置

分壓力質譜計校準裝置

漏孔漏率校準裝置

定向流真空校準裝置