真空漏孔的校準方法

2009-12-12 孟 揚 蘭州物理研究所

  在檢漏工作中,要定量地確定被檢漏孔的漏率,需要將漏率的量值從氣體微流量標準或漏率標準正確地傳遞到質譜檢漏儀。在這個傳遞過程中,對參考漏孔的校準是一個很重要的環節。以國內外有關的標準和文獻為基礎,對真空漏孔的常用校準方法-定容變壓法恒壓變容法、變容變壓法比較法分別給予分析和介紹。

1、引言

  在檢漏工作中,定量地確定被檢漏孔的漏率更具實際意義。定量地確定被檢漏孔的漏率需要有三個基本條件:(1)漏率穩定、數值可靠的參考漏孔;(2)正確地用參考漏孔對檢漏儀進行校準;(3)檢漏儀的檢漏條件與校準條件一致。

  按照參考 漏孔使用時兩端的壓力狀態,可以分為真空漏孔正壓漏孔兩類。真空漏孔是在人口壓力為一個大氣壓、出口壓力小于1kPa條件下校準和使用的漏孔。正壓漏孔是在人口壓力大于一個大氣壓、出口壓力為一個大氣壓條件下使用的漏孔。由于真空漏孔和正壓漏孔的使用條件不同,故它們的校準方法也不完全相同。國際上對真空漏孔的校準已經研制了多種測量原理的校準裝置,并在不同標準裝置間進行了比對研究。對正壓漏孔的校準,因為受到正壓檢漏定量性差和正壓漏孔校準條件較難滿足的局限,以前在國際上研究得不夠;但是,隨著吸槍式質譜計檢漏法的應用和普及,對正壓漏孔的校準問題已經開始引起重視了。本文主要介紹真空漏孔的校準方法,正壓漏孔的校準方法將另文介紹。

2、校準方法的分類

  參考漏孔的漏率就是在規定條件下,在單位時間內通過漏孔流出的氣體量。如果將參考漏孔的一端與密閉容器相通,通過測量容器內氣體的壓力、體積、溫度的變化,則可以由下式得到參考漏孔的漏率

QL=d [pV/(RT)]/dt=(1/R)d(pV/T)/dt   (1)

  式中QL為參考漏孔的漏率,mol/s;p為氣體的壓力,Pa;V為氣體的體積,m 3;R 為摩爾氣體常數,J/(mol·K);T為絕對溫度,K;t 為時間,s。

  由于溫度變化不僅不易控制,而且還會帶來其他效應,例如改變參考漏孔的漏率,所以參考漏孔的漏率都是在恒溫條件下進行測量的,恒溫是漏孔校準成功的基本條件。測量時,如果壓力和體積都改變,則為變容變壓法;如果壓力保持不變,則為恒壓變容法;如果體積保持不變,則為定容變壓法。

  將從參考漏孔流出的氣體產生的效應與參考標準相比,從而判定參考漏孔的漏率,則為比較法。如果是在動態系統中進行比較,則為動態比較法;根據采用參考標準,又可分為氣體微流量計動態比較法和參考漏孔動態比較法等。如果是在靜態容器中進行比較,則為靜態比較法;根據采用的參考標準,又可分為定量氣體靜態比較法和參考漏孔靜態比較法等。

3、真空漏孔的校準方法

3.1、恒壓變容法

  將從真空漏孔流出的氣體引人到一容器中,在溫度、壓力恒定不變的情況下,真空漏孔的漏率可以通過測量容器中氣體的體積變化率△V/△t,壓力P溫度T而得到。

QL=(p/RT)(△V/△t)  (2)

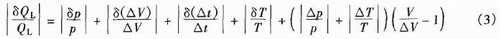
  如果在測量過程中,容器中氣體溫度變化△T,壓力變化仰;p9T,△V和△t分別為δp,δT,δ(△V),δ(△t),則參考漏孔的漏率測量誤差δQL[5]

  在式(3)中,溫度變化△T和壓力變化△p引起的誤差最大,因此需要嚴格恒溫和恒壓。若要減小該項誤差,應當盡量增大體積變化量△V和減小初始體積V。但是增大△V,會延長測量時間,使恒溫和恒壓困難增大。目前,此方法可以測量的下限為10 -12 mol/s。

  恒壓變容法的下限因素是系統的吸、放氣,其工作壓力不可低于1Pa。

  圖1示出了由中國蘭州物理研究所(LIP)研制的氣體微流量標準裝置的原理圖。校準室為采用波紋管制作的變容室,波紋管外為密封油室,利用液壓油的體積隨壓力改變極小的特性,通過控制活塞在油室中的體積來改變變容室的容積,變容室與參考室之間用差壓式電容薄膜規測量壓力差。在測量過程中,參考室中的氣體壓力調在10~10 3Pa之間,測控系統用慢速恒力矩電機驅動活塞在密閉油室中運動,連續增加變容室的體積,使變容室與參考室之間的壓力差維持在零附近,則變容室內的氣體壓力就恒定不變了。活塞的橫截面積與移動速度之積就等于變容室內氣體體積的變化率。變容室為波紋管結構,密封性能好。它可以校準10-7~10-11 mol/s范圍內的參考漏孔,標準不確定度小于2%  [6~8]

  美國Sandia國家實驗室(SNL)研制了一臺活塞位移式真空漏孔校準系統。它利用步進電動機驅動活塞在變容室中運動,連續改變變容室的體積,維持變容室中壓力恒定。由于活塞與變容室之間采用“O”型圈密封,其漏、放氣相對來說比較嚴重。這套系統可以校準10 -6~10 -11 mol/s范圍內的真空漏孔。

  在式(3) 中,OP指的是兩個測量點的壓力變化,在這兩次測量之間只要壓力的變化不改變真空漏孔的漏率就可以。SNL還研制了一臺漏孔校準裝置(見圖2),采用增加固定體積的方法,即在t1時刻打開、1或閥2或閥3,使V1內壓力P二下降,隨著氣體通過漏孔流人V1,直到t2時刻P二恢復到t1時刻前的壓力,則△V和△t都可以確定。這個裝置結構簡單,操作方便,但僅是一種近似的恒壓變容法,恒壓效果差。SNL用它可以對5 ×10-10~5× 10- 8 mol/s范圍內的真空漏孔進行校準,不確定度為5%。

  圖3示出玻璃毛細管變容室示意圖,毛細管為真空漏孔提供氣源,其中的液柱起到密封、變容、恒壓、標識體積變化等作用。這種方法很簡單,可以用來校準漏率大于5×10-10 mol/s的參考漏孔,但是有它自身的缺陷。首先,毛細管不能太粗(直徑小于1 mm ;其次,毛細管的內徑要均勻,否則誤差太大;還有,液體與管壁的浸潤會給測量帶來較大的誤差,環境大氣壓的變化、液體的蒸發和溫度變化引起的液體體積變化都會給漏率測量帶來一定的誤差。另外,液體蒸氣會沿毛細管返流至被校漏孔,易引起漏孔堵塞或腐蝕。