真空漏孔的校準方法——比較法

2009-07-09 孟 揚 蘭州物理研究所

  比較法校準真空漏孔時,要將從真空漏孔流出的氣體產生的效應與參考標準相比。為避免測量儀器的非線性和漂移帶來的誤差,參考標準應與真空漏孔的值盡可能接近。

動態比較法

氣體微流量計動態比較法

  如圖6所示,依次將真空漏孔流出的氣體QL和氣體微流量計流出的氣體Q,分別引人到一個真空室中,再通過限流孔被真空泵抽走,比較它們在真空室中產生的動態平衡壓力輸出信號(分別為HL和Hs),然后用式(9)計算出真空漏孔的漏率。

QL =(HL/Hs)Qs   (9)


此方法中,關鍵技術之一在于氣體微流量計。表1是美國標準技術研究院(NIST)、德國物理技術研究院(PTB)和中國LIP的比較法校準真空漏孔裝置的技術指標。

參考漏孔動態比較法

  比較被校真空漏孔和已知漏率為口,的參考漏孔在檢漏儀中的輸出信號HL和Hs,用式(10)計算被校真空漏孔的漏率。

(10)

  式中H0為檢漏儀的本底信號;as和aL分別為參考漏孔和被校漏孔的溫度系數;△Ts,和△TL分別為校準時參考漏孔和被校漏孔與參考溫度的偏差。如果Qs、和QL非常接近,則此方法中最大的誤差源來自Qs的量值,因此作為參考標準用的參考漏孔必須定期用氣體微流量標準或其他高精度的絕對式漏率標準進行校準。這種方法簡單實用,許多漏孔校準實驗室都用它對實用型參考漏孔(作為非傳.遞標準用的參考漏孔)進行校準。

靜態比較法

定量氣體靜態比較法


  從被校真空漏孔流出的氣體在體積V內積累一段時間后,會形成一個分壓力,用質譜計將此分壓力與標準分壓力進行比較,然后可得到真空漏孔的漏率。標準分壓力可用靜態膨脹法或從已知漏率的漏孔流出氣體累積而得到。

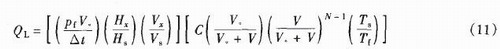
  美國SNL用靜態膨脹法獲得標準分壓力,如圖7所示。在小容器V.內充入壓力為Pt的校準氣體(濃度為C)膨脹到大容器V中作為標準壓力。每次校準時,用小容器V.從大容器V中取樣,然后靜態膨脹到Vm中,由質譜計測量其分壓力信號Hs;再將被校參考漏孔經過時間△t后在體積V.x。二中累積的氣體靜態膨脹到Vm中,由質譜計測量其分壓力信號Hx。最后用下式計算被校參考漏孔的漏率QL

相關文章閱讀:

真空漏孔的校準方法的分類

真空漏孔的校準方法——恒壓變容法

真空漏孔的校準方法——定容變壓法

真空漏孔的校準方法——變容變壓法

真空漏孔的校準方法——比較法