長管路抽真空的理論分析與實驗研究

2019-10-02 王定賢 西北核技術研究所

  分析討論了長管路抽真空的特點及影響管路真空度的主要因素。根據相關真空理論,推導得出了長管路極限真空計算公式。結合一真空工程,對該理論公式進行了實驗驗證。結果表明,理論計算值和實驗測量值比較接近。該公式對長管路的真空設計具有較強的參考價值。

  真空技術在容器檢漏、焊接加工、冶煉、干燥和其他工業領域和科學研究中應用非常廣泛。我國真空工程技術發展很快,雖然只有幾十年的時間,但在很多領域都達到了世界先進水平[1]。盡管現在真空理論和真空技術的發展比較成熟,但在某些特殊真空工程中,當前理論不能很好地解決實際問題。在一真空工程中,對長度超過1000 m、內徑僅為42 mm 的管路,如何正確、快速地計算該長管路的真空度成為設計者遇到的關鍵難題。查閱現有文獻資料表明,沒有直接用于計算長管路真空度的公式。本文通過對相關真空理論公式的分析討論,推導得出了實用可行的長管路真空度計算公式,并得到了實驗驗證。

1、長管路抽真空的特點

  在一般的真空工程計算中,通常將L≥20D(L為管長,D 為管徑)的管路稱為長管,如圖1所示。

  在真空管路內,氣流有三種基本流動狀態,即湍流、粘滯流和分子流。因湍流僅僅發生在系統剛剛工作時,且持續時間短,故不予考慮。而分子流一般出現在高真空(0.13~1.3×10- 6 Pa)和極高真空(1.3×10-6~1.3×10-11 Pa)系統中,可忽略[2]。因此,本文對長管路真空狀態分析時都視氣體流動狀態為粘滯流。

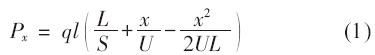
  由真空設計手冊[3]可知,對于長管,其內部各處壓力不等,呈拋物線形分布。其中,管路泵口端壓力最小,另一端壓力最大。對氣體流速,當其狀態為粘滯流時, 對同一截面, 速度分布符合拋物線規律,即管中心流速最快,而管壁最小。在距離抽氣口x 處的壓力[1]計算公式為:

  式中Px———管路某處的壓力,Pa
    q———真空室材料出氣率,Pa·L(/ s·m2
    l———真空室截面周長,m
    L———真空室長度,m
    S———x=0 處的有效抽速,L/s
    U———長度為L 的管路流導,L/s

  根據式(1),可推出管路最遠端L 處的壓力:

  由上式(3)可知,管路兩端的最大壓差與真空泵的抽速無關。因此,為減小長管路內的壓力差,應減小長度L,但本工程中L 為定值,不能變。在本工程中,要求長管路內的真空度為100 Pa,視為低真空常速抽氣。因此,其抽氣時間按下式估算[3],流導為U 時1/S= 1/Sf+1/U則

  式中t———抽氣時間,s
    V———真空設備容積,L/s
    Sl———泵的名義抽速,L/s
    U———抽氣管路的流導,L/s
    pi———經過t 時間抽氣后的壓力,Pa
    p———真空室開始抽氣時的壓力,Pa

2、影響長管路真空度的因素

  影響管路真空度的因素比較多,如材料出氣率、焊縫或法蘭部位的泄漏、材料表面清潔度、蒸汽、溫濕度等。資料表明[3],不同的工程材料,放氣率不盡相同,如1Cr18Ni9Ti 不銹鋼的放氣率為3.74×10-4Pa·L/(s·m2)(原材料,動態測試,抽氣時間1 h),而聚氨酯2# (即PU 材料) 放氣率約為0.14 Pa·L/(s·m2)(動態測試,抽氣時間1 h)。即使對同種材料,抽氣時間不同,放氣率也不同。如果焊縫有貫穿性裂紋和氣孔,真空度也難以降到較低水平。如果法蘭密封結構設計不合理,密封槽或密封圈在安裝時沒有擦洗干凈,都可能造成氣體泄漏,導致真空抽不下去。要想獲得較高真空,必須設法減少真空系統中的大量可凝性蒸汽[4]。此外,管內的灰塵、沙石、焊渣等也對真空度有影響。因此,在設計和安裝真空管路時,必須對上述問題引起足夠重視。

4、結束語

  根據推導得出的長管路真空度公式, 計算了一長度超過1000 m 的細長管真空度,解決了管路真空設計的理論難題。實驗測量結果表明,該公式正確可靠,科學合理,可指導具有類似需求的長真空管路的設計工作。此外,如對簡化公式(10)進一步推導,可得到大小不同、直徑不同、材料放氣率不同的兩管路抽真空的相似性公式,這對真空工程設計與科學實驗具有重要的推廣和借鑒價值。

參考文獻

  [1] 巴德純,達道安,張世偉.真空工程技術[M],北京:化學工業出版社,2006.
  [2] 郭鴻震.真空系統設計與計算[M], 北京:冶金工業出版社,1986:3.
  [3] 達道安. 真空設計手冊[M]. 北京: 國防工業出版社,2004:779- 780.
  [4] 王曉東,巴德純,張世偉,等.真空技術[M],北京:冶金工業出版社,2006.