氣體分子運動論基礎及相關計算公式
1、處于平衡狀態的理想氣體分子,其熱運動速度的分布服從麥克斯韋速度分布定律。氣體分子熱運動率介于v~v+dv之間的幾率為
dN/N = F(v)dv = 4π(mo/2πkT)3/2·exp·(-mov2/2kT)·v2dv (9)
式中F(v)是速率v(m/s)的連續函數,稱為速率分布函數。mo = M/NA ,為一個氣體分子的質量(kg)。
利用速率分布函數,可以計算出反映分子熱運動強度的三種特征速率。最可幾速率vm 是在氣體分子所具有的各種不同熱運動速度中出現幾率最大的速度,即與F(v)最大值相對應的v值;所有氣體分子熱運動速度的算術平均值叫算術平均速度v;把所有氣體分子的速度的平方加起來,然后被分子總數除,再開方就得到均方根速度vs。它們的計算公式如下:

2、理想氣體的壓力基本公式,將氣體分子微觀熱運動的強弱直接與宏觀上的氣體壓力定量聯系起來:
P = 1/3(nmovs2 = 1/3(pvs2) (11)
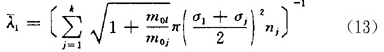
3、氣體中一個分子與其它分子每連續二次碰撞之間所走過的路程稱為自由程,自由程有長有短,差異很大,但大量自由程的統計平均值卻是一定的,稱為平均自由程頁λ(m)。單一種類氣體分子的平均自由程為(12)
如果是含有k種成份的混合氣體,則(13)
式中σ是氣體分子的有效直徑(m),下標l、j分別代表第1、j種氣體成份的參數。
還可定義電子和離子在氣體中運動的平均自由程λe和λi(m)。需要強調說明的是,這里所說電子或離子的自由程,是指電子或離子在氣體中運動時與氣體分子連續二次碰撞間所走過的路程,而沒有考慮電子或離子本身之間的碰撞,所以電子和離子平均自由程計算式中出現的都是氣體分子的參數,而與電子或離子的空間密度無關。(14)(15)
4、氣體分子的某一次自由程取值完全是隨機的,但大量自由程的長度分布卻服從一定的統計規律。氣體分子自由程大于一給定長度χ的幾率為(16)
類似地可得出,電子或離子在氣體中運動的自由程大于一給定長度χ的幾率為(17)(18)
利用這種分布規律,結合平均自由程計算公式(12)~(15),可以計算出做定向運動的粒子束流穿過空間氣體時的散失率,或根據所限定的散失率確定空間氣體所必須達到的真空度。
例如:一臺離子束真空設備中,高能離子流由離子源射向25cm處的靶,若要求離子流與真空室內殘余氣體分子碰撞的散失率小于5%,那么溫度為27oC的殘余氣體壓力應為多少?
根據題意,可知當χ=0.25m時,要求 Pi(λi>χ)≥1%~5%,由(18)式,解出 exp(-0.25/λi)≥0.95,則 λi≥0.25/(-ln0.95),即 λi≥4.87m。再將此結果代入(15)式得 kT/πσ2p≥4.87m;取空氣的分子有效直徑 σ=3.72 × 10-10 m,則要求殘余氣體壓力 p≤1.38 × 10-23 × 300/(π×3.722×10-20×4.87),即p≤1.95 × 10-3 Pa。
5、關于氣體分子對所接觸固體表面(如容器壁)的碰撞問題,可以從入射方向和入射數量二方面加以討論。若一立體角dw與面積元ds的法線間的夾角為θ,則單位時間內由dw方向飛來碰撞到ds上的氣體分子數目dNθ與cosθ成正比,這就是通常所說的余弦定律:(19)
單位時間內碰撞在固體表面單位面積上的氣體分子數目稱為氣體分子對表面的入射率ν(m-2 s-1),其計算式為:(20)
根據平衡狀態的假設,氣體分子飛離固體表面時的方向分布及數量應與入射相一致,因此仍可按式(19)、(20)計算。克努曾余弦反射定律還說明,不論氣體分子的入射方向怎樣,其反射都服從(19)式的余弦規律。
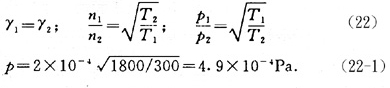
6、如果兩個相連通的真空容器溫度不同,那么內部氣體達到狀態平衡時的參數也會有差異。在低真空條件下,即粘滯流態時,二容器的平衡條件是壓力相等,二容器內氣體壓力、溫度及分子數密度間關系為:
p1 = p2 和 n1/n2 = T2/T1 (21)
在高真空條件下,即分子流態時,二容器內氣體達到動力平衡的條件是在連通處的入射率γ相等,從而有關系:(22)
這種由于溫度不同而引起氣體流動,平衡時產生壓力梯度的現象,稱為熱流逸現象。它會給真空測量帶來誤差。例如某真空電阻爐熱場區溫度為1800K,通過細管連接的真空規管工作在300K溫度下,若規管測得真空度為2×10-4 Pa,則可由(22)式算得爐內的真實氣體壓力為(22-1)