氫-氘體系的氘豐度質譜分析技術

2009-12-16 石磊 中國原子能科學研究院反應堆工程研究設計所

  介紹了用低分辨MAT253質譜計準確測量氫-氘體系中氘豐度的分析技術。通過建立實驗室次級標準樣品配氣系統,并考慮氫同位素的靈敏度差異,測得了幾何校正因子( k) 。對不同氘豐度的氣體樣品比對分析,2個獨立檢測的結果吻合較好。

  在利用低分辨MAT253質譜計對氫-氘體系中氘豐度進行測量時,存在質量重疊峰、進樣系統質量分餾效應以及離子光學系統質量歧視效應的問題。真空技術網曾經有篇文章采用單原子離子離解系數,較好地解決了質量重疊峰問題。對于進樣系統質量分餾效應,當進樣壓力處于粘滯流工作區,一般引入質量平方根進行校正;當進樣壓力處于非穩定粘滯流工作區,除了引入質量平方根,還必須引入與分子泵相關的幾何校正因子k。為了準確測定k ,必須有標準的氫-氘混合氣。目前,要獲得不同豐度的氫氘標準氣體比較困難,只能建立實驗室配氣系統配制次級標準樣品。稱量法是普遍采用的較準確的配氣方法,但對稱量的儀器精度要求非常高,測量成本較為昂貴。真空技術網曾經有篇文章建立的活性碳低溫吸附收集配氣法需要在液氮溫區操作,系統較為復雜。另外,多數文獻并未考慮離子光學系統質量歧視效應引起的氫同位素靈敏度差異的問題。本工作擬采用簡單易操作的壓強法配氣系統,并在考慮氫同位素靈敏度差異的基礎上,測定幾何校正因子k ,并測定氫-氘體系中的氘豐度。

1、原理

1.1、單原子離子的離解系數

  在低分辨質譜計上,H2+和D+ 的離子流強度(I) 在質量數2上疊加。為了比較準確地計算D+的離子流強度,引入單原子離子離解系數(a),定義如式(1):

  其中, I ( H+ ) , I (D+ ) , I ( H2+ ) , I ( HD+ ) ,I (D2+ ) 分別為H , D , H2 , HD , D2 的離子流強度; I2為質量數為2的離子流強度。

1.2、進樣系統質量分餾效應的校正

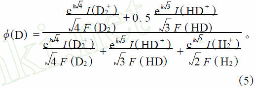
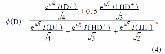
  由于分子泵對不同質量的氣體有不同的抽速,從而產生分子泵壓縮效應,導致分析室內樣品的豐度與進樣瓶內樣品的豐度并不一致,因此必須引入校正系數。MAT253質譜計進樣系統為非穩定粘滯流進樣,除了引入質量平方根,還必須引入幾何校正因子k。氘豐度的計算如式(4) 。

  其中,φ(D) 為氘豐度。

1.3、離子光學系統的質量歧視效應

  據真空技術網前面的文章報道,質譜的離子光學系統中存在質量歧視效應。這主要是因為在相同的聚焦條件下,氫同位素各組分的離子束流有不同程度的發散,導致各組分在離子源出口狹縫處有不同的靈敏度損失,原理示于圖1 。在接收器狹峰準直性校準的情況下,氫同位素的靈敏度可以用各自的高純氣體測定。在考慮氫同位素各組分靈敏度差異的基礎上,可得到新的氘豐度計算公式如下:

  其中, F 為氫同位素相對靈敏度。

離子光學系統的質量歧視效應

圖1  離子光學系統的質量歧視效應

2、實驗部分

2.1、試劑與儀器

  高純氫氣、氮氣、氧氣,純度99.999% ,由北京氦普北分氣體工業有限公司提供;氘氣,豐度99.9% ,由中國船舶718 所提供;氧氣體積分數分別為89.7%, 75.6%, 67.5%, 58.8%的氧-氮混合氣體,由國家標準物質中心提供。壓力計1 , 量程0 ~200kPa ( 絕壓) , 精度0.05,上海望源測控儀表廠;壓力計2 ,量程0~250kPa (表壓) , 精度0.05, 上海光華儀表廠;GC4000A 型氣相色譜儀,北京三維科技公司;低分辨MAT253 質譜計,加速電壓10kV ,發射電流1.5 mA ,美國Thermo Finnigan 公司。

2.2、實驗步驟

  (1) 分別將高純氫和純氘通入質譜計,測量單原子離子離解系數a11 , a22 ,并按公式(2) 計算a12

  (2) 分別將高純氫氣和氘氣通入質譜計,改變進樣壓力,測量氫氣和氘氣的絕對靈敏度,并按相對靈敏度定義計算氘氣的相對靈敏度, HD相對靈敏度取氫氣和氘氣相對靈敏度的平均值。

  (3) 利用高純氫和純氘為基樣,重復6次配制同一氘豐度的氫2氘混合氣體,通入質譜計測量,直接以各分子離子的離子流強度比值作為分子濃度的比值計算氘豐度。

  (4) 用國家標準物質中心提供的φ(O2) =58.8%, 67.5% , 75.6% , 89.7%的氧2氮混合氣體對氣相色譜進行標定,然后以高純氧氣和高純氮氣為基樣, 利用配氣系統配制φ (O2) =60.98% , 69.46% , 78.19% , 89.76%的氧-氮混合氣體,分別通入氣相色譜儀進行測量,以標定值作為配氣值的標準值。將配氣值和標準值進行線性擬合,對配氣系統的系統誤差進行線性校正。

  (5) 利用高純氫和純氘為基樣,配制一系列不同氘豐度的實驗室次級標準混合氣體,分別通入質譜計測量,計算k值。