小型電容薄膜真空規的設計

2013-04-18 孫雯君 蘭州空間技術物理研究所

  商用電容薄膜真空規存在體積大、重量重等問題,無法滿足深空探測中真空測量需求,因此設計了一種小型電容薄膜真空規。設計中采用倒T 型結構固定極板和防熱變形結構,防止測量過程中溫度變化導致的規管部件熱變形; 采用面積相同的雙電極結構,消除測量過程中外界雜散電容和溫度變化引起的測量信號偏差。小型電容薄膜真空規整體尺寸為Φ42 × 24 mm,重量小于200 g,真空測量下限為10-2Pa,測量不確定度預計小于5%,能適應較寬的工作溫度范圍,可以滿足深空探測需求。

1、引言

  在地球應用衛星、載人航天的基礎上開展深空探測活動,是人類進一步了解宇宙、認識太陽系、探索地球生命起源與演化的必要手手段[1]。火星作為距離地球最近的類地行星,由于其獨特的科學價值和技術的跨越性,成為人類開展深空探測的首選目標之一,也是近年來世界深空探測的熱點。對于火星來說,無論是進行環繞探測還是著陸探測,都需要對表面及空間真空度進行測量,一般采用探測器攜帶真空規的方式進行。在火星探測活動中,探測器攜帶了大量的載荷儀器,要完成多項科研探測任務,必須考慮探測器及其搭載的載荷儀器的小型化[2]。為了滿足對火星表面及不同高度上大氣壓力的準確探測需求[3],要求真空規在保證測量準確度的情況下,盡可能減小質量和體積,以節約探測成本。

  電容薄膜真空規具有測量準確度高、線性好、測量結果與氣體成分種類無關等特點,可以覆蓋火星低軌道大氣壓力的測量范圍; 但是,商用電容薄膜真空規的測量下限、重量、外形尺寸、工作溫度等技術指標均不能滿足深空探測的要求。

  為了解決上述問題,提出了小型電容薄膜真空規的設計。其整體尺寸為Φ42 mm ×24 mm,重量小于200g,滿足深空探測中對火星低軌道大壓力的測量需求。

2、結構設計

  小型電容薄膜真空規由進氣管及其入口擋片、檢測膜片基底、檢測膜片、固定極板、參考氣室機架、引出電極、抽氣口、吸氣劑等部分成,如圖1 所示。氣體通過進氣管引入到測量室中,由于氣體壓力作用使檢測膜片發生形變,改變了檢測膜片與固定極板之間的距離,引起二者之間電容量的改變。利用電學方法測出電容量,通過校準得到電容量與氣體壓力之間的關系,獲得氣體壓力。

小型電容薄膜真空規結構示意圖

圖1 小型電容薄膜真空規結構示意圖

  外界環境溫度變化是影響電容薄膜真空規零點穩定性的主要原因[4]。所以,真空技術網(www.hzwlsy.com)給出了小型電容薄膜真空規設計的基本原則是,以減小溫度變化對電容薄膜真空規測量準確度的影響為前提,盡可能減小其重量和外形尺寸。

2.1、材料的選擇

  小型電容薄膜真空規在設計時需要滿足以下基本條件[5] : (1) 膜片、感應電極及外殼材料等應能抵抗腐蝕氣體的侵蝕; (2) 規管在潔凈系統使用時不污染系統; (3) 規管各組件應具有良好的熱膨脹系數的匹配,能進行高溫( 400 ~ 500 ℃) 烘烤除氣。根據以上條件,檢測膜片選用InconelX - 750 合金材料,機架選用InconelX - 600 合金材料,避免了不同種類材料熱膨脹系數不匹配對規管零點穩定性的影響。選用的鎳鉻合金具有良好的抗腐蝕性、抗氧化性及抗蠕變斷裂強度,在室溫高溫均有很好的耐應力腐蝕開裂性能,在零下、室溫及高溫時都具有很好的機械性能。

2.2、檢測膜片的設計

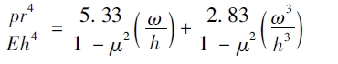
  不同量程的電容薄膜真空規,其檢測膜片的厚度、檢測膜片與固定電極之間的標稱間距均不同。由于檢測膜片的變形量大于其厚度,在設計過程中利用大撓度理論進行初步估算。周邊固定的圓形薄膜在大撓度情況下的一個近似解為:

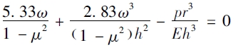
  式中p 為感應壓強,r 為薄膜半徑,E 為薄膜材料的彈性模量,h 為薄膜厚度,μ 為薄膜材料的泊松比,ω 為薄膜產生的變形量( 撓度) 。將式(1) 變換為未知量為撓度ω 的方程:

  對于最大設計壓強為100 Pa、最小設計壓強為1 × 10-2 Pa 的電容薄膜真空規來講,當檢測膜片的直徑設計為42 mm,厚度設計為0. 035 mm 時,利用式( 2) 計算可得到檢測膜片產生的最大撓度為0. 13 mm,考慮冗余設計,檢測膜片與固定極板之間的標稱間距設計為0. 15 mm。

  檢測膜片基底用于焊接并支撐檢測膜片,基底底部開內徑為26 mm,外徑為34 mm,深度為4 mm 的環形槽,以達到減輕整機重量且不影響檢測膜片張力的目的。

2.3、固定極板的設計

  固定極板整體為倒T 型結構的陶瓷板,包括電極板和支柱兩部分,固定極板通過支柱連接在參考氣室機架內底面中心。為了減小制造和測量過程中,溫度變化對固定極板的形變影響,電極板與支柱交界處設計有凹槽結構; 同時,采用由測量電極和參考電極組成的雙電極結構,消除測量過程中外界雜散電容和溫度變化引起的測量信號偏差。