壓縮式真空計靈敏度及測量范圍

2010-03-24 朱武 合肥工業大學

  壓縮式真空計靈敏度可定義為 dh/dp,即單位壓力變化所對應的水銀液面高度變化。一臺壓縮式真空計可以有一個平方刻度,同時還可以有幾個直線刻度。

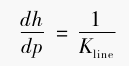
  對于平方刻度,由式

  求得靈敏度為

  由上式可看出,平方刻度時靈敏度與水銀液面高度差h有關,即與被測壓力有關。最高靈敏度出現在最小的h值上,即出現在低壓力時。還可以看出,降低 K可以提高靈敏度,也就是應增大玻璃泡的容積V和減小毛細管的直徑d。

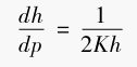
  在使用直線刻度時,壓力由式

  表示,其靈敏度為

  由上式可見,靈敏度與h無關,即在全量程上各點靈敏度都恒定不變。

  靈敏度主要取決于V、d、h等值。若V過大,充填真空計所需的水銀量就過多,則水銀的重量就可能將玻璃泡壓碎,所以一般合理的V約為500cm3左右;毛細管直徑d如過小,在水銀下降時由于表面張力而可能使其停留在毛細管里,給測量造成困難,所以一般毛細管內徑最小取d = 0.8mm 左右;水銀面高度差h如果小于1mm,也會造成較大測量誤差。因此,壓縮式真空計靈敏度在(2~5)× 10-3mm /Pa范圍內。

壓  縮式真空計的壓力測量范圍也取決于V、d、h和毛細管的總長度。如取 h = 1mm,毛細管最長取100mm,則采用平方刻度測量的壓力范圍為4個數量級,而直線刻度的壓力測量范圍只有兩個數量級。因此,工作用壓縮式真空計的測量范圍為102~ 10-3 Pa。為了擴展測量范圍,可對其結構進行改進設計,如測量高壓力(低真空)的寬量程壓縮式真空計、旋轉式壓縮式真空計、測量高真空的油壓縮式真空計,等等。

  圖1所示為旋轉式壓縮式真空計。其操作方便,用平方刻度法測量。由于結構尺寸較小,毛細管內徑較粗,所以其測量范圍為102~ 10-1 Pa。在不測量時將真空計水平放置(如圖1-a所示),水銀流入貯存器中,真空計其余部分與被測真空系統相通。真空系統被抽空后進行測量時,將真空計旋轉至垂直位置(如圖1-b所示),水銀升到毛細管內。充入真空計中的水銀量,在垂直位置時比較毛細管中的水銀面正好處在測量毛細管的內部頂端(基準線處)。

旋轉式壓縮式真空計

a)測量前水平放置位置  b)測量時垂直位置

圖1 旋轉式壓縮式真空計

1—旋轉中心   2—水銀

壓縮式真空計相關文章:

壓縮式真空計的結構及工作原理

壓縮式真空計的測量刻度

壓縮式真空計靈敏度及測量范圍

影響壓縮式真空計測量的主要因素

不同型式的壓縮式真空計的使用方法與注意點

壓縮式真空計的結構尺寸及平方刻度尺計算舉例