壓縮式真空計的結構及工作原理

2010-03-23 朱武 合肥工業大學

  壓縮式真空計是對U型管真空計的重大改進,它是依據理想氣體的波義耳定律制成的。由于它首先是由麥克勞提出的,故此種真空計又稱為麥克勞真空計(簡稱麥氏計)。

  壓縮式真空計是測量壓力低于1Pa時用的絕對真空計,并且從1874年至今仍作為校準其他真空計的主要儀器。

  圖1 所示為一種工作用壓縮式真空計,它是用硬質玻璃吹制而成。由測量毛細管3(頂端為封閉端)、比較毛細管4 、玻璃泡2 、水銀貯器1 、三通閥7 、與被測真空系統相連接的導管6和刻度尺5等組成。

  為減小測量誤差,測量毛細管和比較毛細管用同一根毛細管截斷制成,這樣可較好地保持兩者內徑的均勻性。為使待測系統壓力與玻璃泡內的壓力一致,導管6要用較粗的玻璃管制成,保證其有足夠的通導能力。

  由于壓縮式真空計是依據理想氣體的波義耳定律制成的,所以其前提條件是被測真空系統內的氣體必須是適用波義耳定律的,否則將給測量帶來誤差;再者要求在測量時真空系統內壓力穩定。

壓縮式真空計的結構及工作原理

圖1  壓縮式真空計  圖2  壓縮式真空計測量圖

1—水銀貯器 2—玻璃泡 3—測量毛細管 4—比較毛細管 5— 刻度尺 6— 導管 7— 三通閥

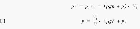
  測量前將壓縮式真空計的導管與被測系統相連接,由于系統內壓力各處相等,所以玻璃泡和測量毛細管內的壓力與待測系統內的壓力p相等。測量時用任一種方法將水銀面提升,當水銀面提升到M-M面時(見圖2),被測系統與玻璃泡隔斷,玻璃泡以上內部壓力與被測系統內壓力p相等。設M-M 以上包括測量毛細管和玻璃泡體積之和為V。當繼續提升水銀時,玻璃泡內的氣體被壓縮,體積減小,壓力增高。

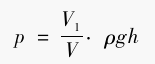
  當水銀面停在如圖2所示的位置時,測量毛細管內的氣體體積為V1,壓力為 p2,而比較毛細管內壓力仍為p。測量毛細管和比較毛細管液面高度差為h = h1-h 2,則測量毛細管內的壓力p2= ρgh + p。根據波義耳定律可得

  因為一般用壓縮式真空計測量低壓,即p《ρgh,故等式右邊的p可以忽略。于是,上式可以寫成

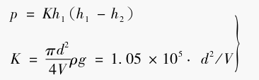
  又因為測量毛細管壓縮后的氣體容積V1=(πd2/4)·h 1,經整理得

  此式即為壓縮式真空計的基本方程式。式中d為測量毛細管的內徑。V和d在吹制壓縮式真空計時可測得為已知數據,則

  式中:p——— 待測壓力,Pa; h1、h2———液面差,m; K———真空計常數,Pam-2

壓縮式真空計相關文章:

壓縮式真空計的結構及工作原理

壓縮式真空計的測量刻度

壓縮式真空計靈敏度及測量范圍

影響壓縮式真空計測量的主要因素

不同型式的壓縮式真空計的使用方法與注意點

壓縮式真空計的結構尺寸及平方刻度尺計算舉例