間隙流導對羅茨泵的最大零流量壓縮比的影響

2008-12-10 任躍軍 浙江真空設備集團有限公司

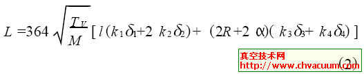
      在羅茨泵的吸入壓力PA =133.3 ~1333Pa工作時, 間隙內的流動狀態為分子流, 間隙流導L

間隙流導 

式中  T v ——通過間隙的氣體溫度, 等于排氣溫度

         M ——分子量

         K 1、K 2、K 3、K 4——分別為型線輪廓的、徑向的、端面固定端和端面流動端間隙的克勞辛修正系數

           D1、D2、D3、D4——分別為型線輪廓的、徑向的、端面固定端和端面流動端的間隙

         R ——轉子半徑

         l——轉子長度

        A——轉子節圓半徑

       因此要降低羅茨泵的間隙流導, 最有效的方法是降低羅茨泵的各項間隙和排氣溫度。

       羅茨泵的各項間隙由泵的制造精度和裝配精度、零件的受熱膨脹、作用力引起的零件變形等因素決定。因為, 零件的受熱膨脹對各項間隙的影響最大, 所以要減少羅茨泵的各項間隙, 除提高泵零件的制造、裝配精度及選用強度高的材料外, 還要對零件的受熱膨脹進行控制。特別是大泵受熱膨脹更厲害, 相應地, 各項間隙也要取得更大。

       針對零件的受熱膨脹, 我們認為可以采用以硅樹脂為基料的絕熱涂料, 對轉子表面、泵體內腔、兩側蓋與泵體連接表面進行噴涂處理, 以隔絕壓縮氣體產生的熱量傳遞給轉子、泵體及兩側蓋。而涂料本身的線膨脹系數很小, 因此可以大大減輕零件的受熱膨脹對各項間隙的影響。這些涂料還具有防腐蝕, 防氧化的功能, 在石油化工廠, 冶金煉鋼廠, 發電廠等高溫部位及設備上已得到了廣泛的應用。而泵體內的熱量由裝在泵腔內的氣體冷卻器吸收, 其結構見圖1 所示。這樣又可以降低排氣溫度,進一步降低羅茨泵的間隙流導。

羅茨泵結構圖

1. 泵體 2. 側蓋甲 3. 側蓋乙 4. 冷卻器

圖1 羅茨泵結構示意圖