影響羅茨泵的最大零流量壓縮比的因素

2008-12-10 任躍軍 浙江真空設備集團有限公司

      抽氣速率、極限壓力、最大零流量壓縮比是羅茨泵的最主要的技術性能指標。羅茨泵的前兩個性能指標在實際應用中往往作為選配機組時的主要參考數據。而抽氣速率與極限壓力都不能準確全面地反映羅茨泵的整體技術性能,其數據往往受到前級泵和最大零流量壓縮比的影響, 最大零流量壓縮比是指在關閉進氣管路,羅茨泵入口氣體流量為零時, 測得的的出口壓力與進口壓力之比的最大值,用符號K0max 表示。它實際上反應了羅茨泵的泄漏與返流量占到抽氣速率的比例。

      在羅茨泵最大允許壓差相同的情況下,最大零流量壓縮比的數值最能反映羅茨泵的設計與制造工藝水平。一般來說,最大零流量壓縮比K0max增加,則極限壓力PA. E下降,容積效率GM增加,有效抽速S增加。因此,在羅茨泵的設計工作中最大零流量壓縮比是必須要考慮的。下面將探討與羅茨泵的最大零流量壓縮比有關的一些問題。

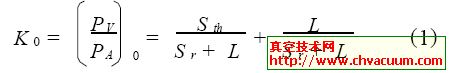
零流量壓縮比K0

零流量壓縮比 

式中 PV ——羅茨泵出口壓力

         PA ——羅茨泵入口壓力

       S th ——羅茨泵幾何抽速

       S r——轉子返流速率

        L ——間隙流導


       羅茨泵零流量壓縮比K0與出口壓力PV 有關系。在較高的PV時,因間隙流導L處于黏滯流狀態,流導L在這時有所增加,因而壓縮比K0在向高的PV方向上有所下降。在低的PV條件下,流導L處于分子流狀態基本上是定值,這時受Sr的影響。K0在向低的PV方向上也是降低的,而在PV=1hPa附近K0有最大值出現。泵的尺寸增加使泵的Sth比L增加得快,因此大容量的羅茨泵的K0也有所增加。

       由上可知,降低羅茨泵的間隙流導和轉子返流速率,不但可以提高最大零流量壓縮比,而且還能提高泵在各種出口壓力下的零流量壓縮比,使曲線K0—PV上移。