低溫絕熱壓力容器檢漏系統分析

2009-11-28 黃宏 蘭州物理研究所真空低溫技術與物理國家級重點實驗室

  漏率是低溫絕熱壓力容器的主要技術指標之一。準確測量漏率值是產品絕熱性、可靠性和安全性評估的重要手段。從輔助真空系統設計、檢漏系統有效最小可檢漏率的分析、檢漏儀連接位置和示漏氣體的反應時間等幾個方面對低溫絕熱壓力容器檢漏系統進行了論述與分析。

1、引言

  低溫絕熱壓力容器是指用于貯存或運輸液氫、液氧、液氦、液氬、液氮及液化天然氣等低溫介質的容器。產品的漏率指標是確保產品安全運行的主要技術指標之一,準確測量漏率值是對該產品絕熱性、可靠性和安全性評估的重要手段。縱觀國內大部分生產廠家對產品檢漏的方法,存在檢測方法不統一、漏率定量不準確、檢漏效率低等問題。部分生產廠家僅對零部件、管路和部分焊縫進行檢漏,并未對產品出廠前的總漏率進行定量檢測,造成了產品在運行過程中的安全隱患。

  作者從產品檢漏總體方案設計、輔助真空系統設計、有效最小可檢漏率分析、檢漏儀連接位置和示漏氣體反應時間等幾個方面對低溫絕熱壓力容器產品的檢漏原理與方法進行了論述,意在規范與統一產品的檢漏方法,準確測量產品的漏率值,確保產品運行的安全與可靠性。

2、低溫絕熱壓力容器檢漏方案

2.1、檢漏要求

  對低溫絕熱壓力容器的檢漏有以下要求。

(1)漏率指標

  參考真空技術網另文規定,貯存用低溫絕熱壓力容器要求產品總漏率應小于1×10-7Pa·m3/s;運輸用低溫絕熱壓力容器的產品漏率指標應小于1×10-9Pa·m3/s。同時,要求對漏孔能定量和定位。

(2)反應時間

  對于貯存用、運輸用容器等大型低溫絕熱壓力容器,如果檢漏系統反應時間過長,大面積的長焊縫檢漏勢必導致檢漏時間過長。為了縮短時間、提高效率,要求盡量縮短檢漏響應時間與清除時間。

(3)有效最小可檢漏率

  根據各部分漏率指標要求,確定檢漏方法及檢測系統的有效最小可檢漏率。通常要求有效最小可檢漏率應為產品漏率指標的1/10。

2.2、檢漏系統總體方案

  低溫絕熱壓力容器的幾何容積通常在5m3到100m3之間,產品的漏率允許值在1×10-7~1×10-9Pa·m3/s之間,并要求對存在的漏孔能定量和定位,檢漏時間短。根據產品的漏率指標及檢漏要求,通常選用最小可檢漏率低、能準確定位和定量的氦質譜檢漏技術。由于產品容積較大,為縮短反應時間,提高檢漏效率,需要采用輔助真空系統。產品檢漏系統如圖1 所示。檢漏系統由真空輔助系統、檢漏儀、標準漏孔和被檢容器組成。

低溫絕熱壓力容器檢漏系統圖

1,6.標準漏孔;2,5,9,10,11.真空閥門;3.低溫絕熱壓力容器;4.真空規;7.氦質譜檢漏儀;8.前級泵;12.次級泵。

圖1 低溫絕熱壓力容器檢漏系統圖

2.3、輔助真空系統

2.3.1、組成

  輔助真空系統具有預抽容器真空夾層、分流氣體、減小示漏氣體反應時間和清除時間等功能。根據低溫絕熱壓力容器的結構、尺寸、要求和具備的檢漏條件配置相應的輔助真空系統。一般的輔助真空系統由前級泵、次級泵、真空閥門、真空規及標準漏孔等組成,對于低溫絕熱壓力容器前級泵最好為氣鎮式機械泵,次級泵可采用擴散泵羅茨泵

2.3.2、參數選擇

  檢漏時,容器除了可能漏氣外,不可避免地還會有材料出氣,如果不加輔助真空系統,被檢件的漏氣與材料出氣的總漏放氣速率就要全部通過檢漏儀系統。為了保證檢漏儀能正常工作,應滿足如下條件,即

  式中p為檢漏儀的工作壓力,Pa;Sd 為檢漏儀支路的抽速,L/s;Q0 為低溫絕熱壓力容器真空夾層漏氣速率,Pa·m3/s;ΣQi為低溫絕熱壓力容器真空夾層材料的出氣速率,Pa·m3/s。對于低溫絕熱壓力容器而言,其漏氣或出氣可能很大,因此,要求輔助真空系統的抽速S為(對空氣)

2.4、檢漏系統有效最小可檢漏率分析

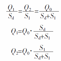
  檢漏系統的有效最小可檢漏率決定了檢漏系統可以檢出的最小漏孔值,是設計檢漏系統的主要參數之一。在如圖1 所示的檢漏系統中,假設進入低溫絕熱壓力容器真空夾層的氦氣量為Q0,其中一部分Q1 通過檢漏儀的分析室,而另一部分Q2 被前級泵抽除。以圖中A 點為參考點,可得到

  如不考慮分析室支路的通導能力,則分析室支路的氦壓力為

  式中Q1 為通過檢漏儀分析室的氦氣量,Pa·m3/s;Q2 為前級泵抽走的氦氣量,Pa·m3/s;S1為前級泵抽速,L/s;Sd 為分析室支路對A 點的抽速,L/s; Sc 為分析室的抽速,L/s;pc 為檢漏儀分析室的氦壓力,Pa。對以上公式分析如下:

  (1)由式(3)~式(6)可知,若不用前級泵時,S1=0,Q2=0,全部氦氣量都通過檢漏儀的分析室,即Q0=Q1,則根據式(6)有

pc= Q0/Sc

  (2)由式(7)可知,Sc 越小,pc 值越大,則檢漏時有效最小可檢漏率越低。當Sc→0,而且S1=0 時(前級泵關閉), pc→∝,這相當于停止抽氦以后,氦分壓會逐漸提高,經相當長時間后,即使很微小漏孔也會檢出。

  (3)pc 與S2 無關,使用次級泵不能降低檢漏系統的有效最小可檢漏率,只能減少抽空時間和反應時間。

  (4)由式(6)和式(7)比較可知,使用前級泵可使pc 下降Sd /(S2+Sd)倍。為了降低檢漏時的最小可檢漏率,即提高pc,可減小S1。為此,可關小前級泵閥,或選擇對氦氣抽速小的泵。