光彈法檢測真空玻璃真空度的基本原理及方法

2013-06-22 劉小根 中國建筑材料科學研究總院

  光彈法檢測真空玻璃真空度是實驗應力分析中的一種基本方法,是基于力學基礎之上的,在介紹該方法前,首先對真空玻璃內部應力分布狀態作簡單的分析。

1、真空玻璃支撐應力分析

  雙層真空玻璃在外部大氣壓作用下,將產生很大的應力和變形。為保證玻璃不因大氣壓而產生過大的應力,在真空玻璃內部放置許多金屬支撐物如圖1所示,玻璃與支撐物相互作用抵消了玻璃內外大氣壓差帶來的附加外力。顯然,當大氣壓差越大時,支撐物與玻璃的相互作用力越大,而且支撐力的大小與氣壓差成線性比例關系。為分析真空玻璃支撐點處的應力分布特征,根據真空玻璃結構特點,可以將真空玻璃每點支撐區域劃分為一個單元進行受力分析,其一個單元的受力力學理論計算模型可簡化為圖2所示。

真空玻璃的支撐應力模型圖

圖2 真空玻璃的支撐應力模型圖

  單元模型可認為是四邊固支,在均布壓力q及支撐力F 的作用下,最大應力將出現在玻璃與支撐物支撐點處,計算公式計算如下:

最大應力將出現在玻璃與支撐物支撐點處

  式中:a,b 分別為真空玻璃支撐點的橫向和縱向距離;F = qab;t為單片玻璃厚度;r 為支撐物半徑;A、B、B1 分別為系數,當a /b= 1時,A= 0.0138,B= 0.1386,B1 = 0.1386。

  根據上述計算公式,支撐點位置處產生的最大應力與真空玻璃支撐物排列距離、方式、支撐物大小,真空玻璃單片玻璃厚度及真空度有關。顯然,當真空玻璃結構確定時,支撐處的最大應力應與玻璃的內外壓差成正比。

  根據上面的理論計算方法,筆者對一真空玻璃樣品進行了計算,并同時對其進行了有限元分析,真空玻璃為鈉鈣普通玻璃,E = 72 GPa,v =0.22,玻璃單片厚度為4 mm,支撐物為不銹鋼,直徑為0.4 mm,支撐物長寬間距分別為3 cm. 根據上面的理論公式進行了計算,計算結果為Rmax=11.057 MPa,有限元分析結果得到Rmax =11.9MPa,兩者誤差相差7.62%,有限元得到的等效應力分布圖見圖3。由上面的計算及分析結果表明,支點處會產生應力集中,該處應力最大,由玻璃內外壓差而帶來的附加力基本上呈均勻狀態分布于真空玻璃內部的各個支點上,各支點處的最大應力均在玻璃設計強度允許范圍內。

ANSYS模擬真空玻璃支撐等效應力云圖

圖3 ANSYS模擬真空玻璃支撐等效應力云圖

2、光彈法檢測真空度的基本原理

  根據上面對真空玻璃應力分析,我們知道在真空玻璃支撐物與玻璃支撐位置處會產生應力集中,該位置玻璃應力最大。而且最大應力與玻璃的真空度有關,當玻璃真空度完全損失時,它們之間的作用力也完全消失。根據光彈性原理,材料在外力作用下會產生臨時雙折射現象,而這種現象是可以通過光彈儀觀測得到的。圖4為通過光彈儀觀測到一單片玻璃厚為4mm,支撐點間距為3 cm的雙層真空玻璃的應力光斑,光斑為梅花形狀,應力光斑的形狀與大小與該處的主應力值有關。

通過光彈儀觀測到真空玻璃應力光斑圖

圖4 通過光彈儀觀測到真空玻璃應力光斑圖

  我們知道,在支撐物與玻璃相互接觸位置點處為三向應力狀態,在該接觸點取一微小單元體,在支撐物與玻璃的接觸面上,有接觸應力R3,由于R3 的作用,單元體將向周圍膨脹,于是引起周圍玻璃對它的約束應力R1 和R2。由于實際支撐物結構尺寸很小,因此,支撐點處可以把支撐力看作為集中荷載,玻璃看作半無限大平面體。根據接觸理論,垂直作用在表面原點上的集中力P 在接觸點附近平面內產生的應力按如下公式計算:

  顯然,接觸點附近處的應力狀態中:R1 = Rx,R2 = Ry,R3 = Rz.根據光彈性原理,在等差線上,條紋存在如下關系

條紋存在如下關系

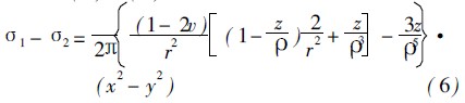
  式中:C 為應力光學常數;K為光波波長;d 為玻璃厚度;N 為條紋值。由公式(2)及(3)可知

  由公式(6)可以看出,在x,y平面內,當x= y時,R -R2 = 0,沒有應力條紋,R1-R2 分布形狀為梅花型分布,因而應力光斑也應是梅花形狀的,這與圖5見到的應力光斑圖類似。光斑是因光程差產生的,其大小和形狀和該點的主應力差值有關,也和玻璃厚度有關,當用相同光源照射同樣品種的真空玻璃,只要真空玻璃真空度發生衰變,那么就會導致接觸點主應力差值發生改變,從而導致光斑形貌大小改變。

3、光彈法在線檢測真空玻璃真空度操作方法及應用

  為實現在線對真空玻璃真空度檢測,本方法需要一臺便攜式光彈儀,將光彈儀置于真空玻璃表面上,用肉眼可以觀察到支撐應力光斑的大小和分布形狀。通過橫向比較法和縱向比較法可以對真空玻璃的真空度進行定性或半定量測量.一般情況下,同一真空玻璃工程各真空玻璃的尺寸、規格及實際應用狀態基本上是相同的,但當某塊真空玻璃真空度衰變甚至完全損失時,則其應力光斑大小將相對于其它真空玻璃會變小,圖5是通過試驗觀測到不同真空度下同一真空玻璃對應的應力光斑圖,由圖可以看出,不同真空度下,觀測到的應力光斑從分布狀態、尺寸大小和光斑亮度都不同. 真空度損失越大,則應力光斑越小,越暗,有的支撐點處還看不到光斑。真空度完全失去時,應力光斑完全消失。

通過光彈儀觀測到真空玻璃應力光斑圖

圖5 不同真空度下的真空玻璃應力光斑圖

  因此,通過光斑的分布及形貌,并與相同條件下完好無損的真空玻璃的光斑進行比較,就可以知道哪塊真空玻璃的真空度是否出現衰變及衰變程度,特別是對那些真空度衰變嚴重甚至完全損失的真空玻璃,更能一眼識別出來,從而對其進行維修或更換。該方法最大的特點是操作簡單,結果直觀,檢測價格低廉,易于對工程在線適時觀測。