真空玻璃隔熱原理分析及實驗

2013-04-20 申惠東 華南理工大學機械與汽車工程學院

  利用輻射- 邊部傳導耦合模式分析真空玻璃的隔熱原理,通過傳熱通量和傳熱系數的計算,建立真空玻璃的傳熱方程,計算出真空玻璃結構沿厚度方向的溫度分布和熱流通量,對計算值和實驗值進行了對比分析。結果表明,真空玻璃傳熱系數與真空度正相關,真空度決定真空玻璃隔熱性能;真空玻璃雙面鍍低輻射膜隔絕了較多的輻射熱交換,其效果比單面鍍膜好。

  真空玻璃比普通玻璃和中空玻璃具有更好的保溫隔熱性能,對真空玻璃的隔熱原理進行分析研究,可進一步改進真空玻璃的性能,減少能量損失。本文以自制的真空玻璃樣品為基礎,對真空玻璃隔熱原理進行分析,并對理論模型進行實驗驗證。

1、真空平板玻璃隔熱原理

  真空玻璃是將四周焊接密封的兩塊玻璃間的間隙抽成真空狀態來達到隔熱的目的。其結構如圖1所示。這兩塊玻璃間的間隙為0.1~0.3 mm。

  為使玻璃在真空狀態下能承受外界大氣壓力,在兩塊玻璃之間放許多支撐柱,支撐柱采用Φ 0.5~Φ1.0 mm、高度0.1~0.3 mm的圓柱體,一般情況下沒有光學凸異感,其透光性能不受影響。

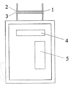
真空玻璃結構示意圖

1.平板玻璃 2.真空隔熱層 3.支撐墊片 4.低輻射膜 5.密封 6.抽氣口 7.周邊密封

圖1 真空玻璃結構示意圖

  熱量通過真空玻璃的傳導有幾種不同的物理過程:兩塊玻璃板內表面的熱輻射;通過支撐物的傳導傳熱;通過相連玻璃板邊部的傳導傳熱。這傳熱過程是同步進行的,所以真空玻璃的傳熱系數K玻- 玻= K輻射+ K傳導+ K對流[1] 。真空玻璃的真空度高,減少了氣體的對流傳熱和傳導傳熱。由于支撐物很小,支撐物同玻璃板接觸面積占真空玻璃面積的比例非常小,通過支撐物傳導傳熱也小。所以真空技術網(www.chvacum.com)認為真空玻璃的傳熱主要取決于輻射傳熱和邊部的傳導傳熱。用鍍有低輻射膜玻璃制造的真空玻璃又大大減少了輻射傳熱,所以,邊部傳導傳熱占真空玻璃傳熱的大部分,對真空玻璃的隔熱性能影響較大。

2、真空玻璃輻射和邊部傳導耦合傳熱分析

2.1、傳熱方程的建立

  假定內層玻璃先看成兩個無限大平板中間充滿吸收- 發射介質,因此作如下假設:

  ①介質為灰體,即吸收系數和透過率為常數,與波長無關,αλ =α,τλ =τ0 且介質為漫發射體。

  ②介質處于局部熱力學平衡狀態,即被介質吸收的能量將在介質中以平衡分布的方式迅速重新分布,介質發射的光譜不受任何入射輻射的影響。

  ③只存在與等溫面垂直方向的一維輻射換熱。

  ④介質的所有物理參數與溫度無關[2]

  根據上述假設,這是一個一維傳熱問題,現定義真空玻璃依下至上四表面分別為表面1、2、3、4,由結構對稱性,探討表面1、2即可。則表面1、2分別維持恒定的溫度T1 和T2 ,需要求厚為Z 的真空玻璃結構的傳熱通量。由熱平衡狀態下的能量守恒定律得:

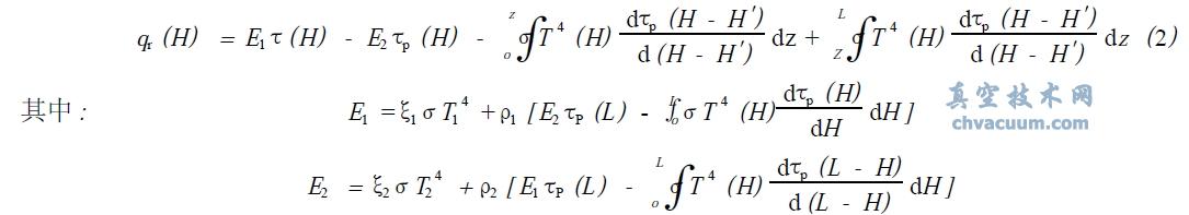
熱平衡狀態下的能量守恒定律

  式中: qc (H) —厚度H處的導熱流量; qr (H) —厚度H處的輻射熱流量; q (H) —厚度H處的總熱流量; k—導熱系數。

  利用輻射透過率[3~4]概念得出兩端為灰表面的輻射熱流量為:

灰表面的輻射熱流量

  式中: E1、E2 —表面1、2的有效輻射量;τP (H) —介質層透過率;τ(H) —自底部進入介質層的輻射熱流量;τP(H - H’) 、τP (L ) —到達H - H′、L 厚度處輻射熱流量與自底面進入介質層的輻熱流量的比值;σ—斯蒂芬-玻耳茲曼常數;ξ1 、ξ2 —表面1、2的發射率;ρ1 、ρ2 —表面1、2的反射率; H′—當量厚度。

2.2、方程求解

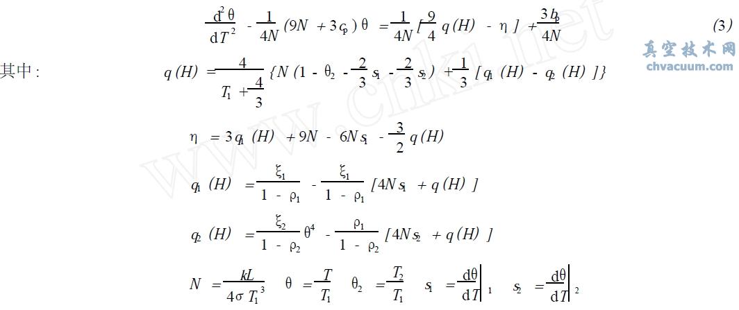
  真空玻璃結構的傳熱控制方程中,能量守恒方程式(1)是一個以溫度T為因變量的微分方程,而其中的輻射分量T 4為某一函數,因此能量方程是一個非線性的微分積分方程。通過求解這個非線性的微分積分方程,能得到真空玻璃結構沿厚度方向的溫度分布和熱流量。

  利用一個簡單的指數函數來近似代替輻射方程的指數積分函數,從而把積分方程轉化成較容易求解的微分方程。其求解結果為:

  其中:  ρ1 =ρ2 = 0. 04,ξ1 =ξ2 = 0. 84, k = 1. 02W / (m2 ·K) 。

  式中: N —定義傳導- 輻射參數;θ—沿玻璃厚度方向無因次溫度分布函數; T—溫度;α—吸收系數,α取值為0.84。

3、實驗及結果分析

3.1、實驗方法

  導熱系數測試儀是依據護熱平板法技術原理設計,結構如圖2所示。測試儀尺寸為380 mm ×280 mm ×260 mm,采用雙平板熱防護結構,屬于穩態溫度場測量方法,隔熱用聚苯乙烯泡沫,箱內采用了先進的電子電路系統、半導體制冷技術和帶有溫度自動校準功能的軟件,通過簡單、快捷的數字顯示界面和控制面板實現儀器的全自動控制、數據采集和處理、導熱系數的計算。

導熱系數測試儀示意圖

1.真空玻璃 2.爐熱平板 3.聚苯乙烯泡沫 4.數字顯示屏 5.控制面板

     圖2 導熱系數測試儀示意圖

  該實驗在常溫條件下進行,隔熱用聚苯乙烯泡沫使真空玻璃形成受外界干擾較小的獨立的封閉系統,導熱系數測試儀外接220 V交流電,其測量過程為全自動控制。

3.2、結果分析

3.2.1、壓強

  傳熱系數隨著壓強減小而大幅度下降。由圖3可知,大氣壓下的內面鍍膜真空玻璃傳熱系數為4. 52W / (m2 ·K) ,而壓強為10 -3 Pa時,傳熱系數為1. 81 W / (m2 ·K) ,這說明真空度對玻璃絕熱性能的影響很大,高真空與非真空相比其隔熱性能提高近3倍。當壓強小于0. 33 Pa后,玻璃夾層基本上消除了氣體熱傳導,只剩下熱輻射和由支撐柱封邊料產生的熱傳導,這一結果提供了將材料的傳導傳熱和輻射傳熱分開的手段,為進一步研究材料的輻射傳熱提供了方便。

  由圖3還可看出,傳熱系數的計算值[5]和實驗值在低真空狀態下相差較大,隨著真空度的增加,誤差減小,并在30 Pa左右時有一個重合點,之后誤差趨于穩定。由于真空玻璃在實際應用中,真空度一般在0.1Pa以下,因此,自由狀態下的誤差已基本達到工程的計算要求[5]

內面鍍膜真空玻璃的真空度- 傳熱系數曲線

圖3 內面鍍膜真空玻璃的真空度- 傳熱系數曲線

3.2.2、鍍膜層

  由圖4可知,普通玻璃的傳熱系數與其他三種鍍膜玻璃相比較,無論在何種真空度條件下均有明顯的差距,表明了鍍膜對真空玻璃的隔熱效率影響較大。

各種鍍膜真空玻璃的真空度- 傳熱系數曲線

圖4 各種鍍膜真空玻璃的真空度- 傳熱系數曲線

  從實驗可知,當壓強進入10-3 Pa的高真空狀態下時,外面鍍膜真空玻璃的傳熱系數為1. 45W / (m2·K) ,而內面鍍膜真空玻璃為1. 81W / (m2·K) ,相差20% ,即外面鍍膜優于內面鍍膜。當低輻射膜在外面時,低輻射膜阻擋了護熱平板的輻射和由真空玻璃底面向護熱平板外的熱輻射。當低輻射膜鍍置于內面時,只能阻擋護熱平板的輻射,真空玻璃外面還能向護熱平板進行輻射熱, 因此低輻射膜鍍置于外面比內面效果好。由圖4還可以得出雙面鍍膜的效果優于任何單面鍍膜的效果,但在高真空度條件下,雙面鍍膜效果與外鍍膜效果幾近相同,因此,從綜合經濟效益來看,外鍍膜真空玻璃市場應用前景較大[6]

4、結論

  (1)建立了真空玻璃的傳熱方程,用輻射- 邊部傳導耦合模式來分析真空玻璃的傳熱,得到真空玻璃結構沿厚度方向的溫度分布和熱流通量。

  (2)真空玻璃的傳熱系數與壓強成正相關,真空度決定真空玻璃絕熱性能。

  (3)真空玻璃雙面鍍低輻射膜隔絕了輻射熱交換,其效果比單面鍍膜好。

參考文獻:

  [1]  徐成海. 真空工程技術[M]. 北京:化學工業出版社, 2006.

  [2]  張瑞宏. 真空平板玻璃傳熱理論分析及試驗[J]. 農業機械學報, 2006, 37 (12) : 134 - 138.

  [3]  EdwardsD K, Tobin R D. Effect of polarization on radiant heat transfer through long passages [J]. Trans. of theASME. Journal ofHeat Transfer, 1989, 967 (2) : 132 - 138.

  [4]  Tien C L, YuenW W. Radiation characteristics of honeycomb solar collectors [J]. International Journal of Heat and Mass Transfer, 1975, 18(12) : 1 409 - 1 413.

  [5]  繆宏. 真空玻璃傳導和對流傳熱機理研究[J]. 玻璃, 2007, 34 (2) : 7 - 12.

  [6]  忻崧義. 提高中空玻璃與真空玻璃節能效果的途徑[J]. 玻璃, 2004, 31 (6) : 53 - 56.