超臨界機組主蒸汽氣動疏水截止閥的分析與選型

2013-10-07 趙國欽 廣東粵電靖海發電有限公司

  分析了600MW超臨界機組中,主蒸汽疏水系統用氣動疏水截止閥出現內漏的原因,介紹了既能保證充分疏水,又能避免運行過程中內漏的小閥瓣氣動疏水截止閥的結構、設計和選型。

1、概述

  國內電廠超臨界600MW機組中,主蒸汽疏水系統由于壓力和溫度高,疏水閥的前后壓差大,氣動疏水閥多選用截止閥。但由于氣動截止閥在實際的使用中,經過幾次開關后容易出現閥門關閉不到位導致的內漏或閥瓣部位直接出現內漏,造成機組運行期間高能蒸汽的浪費。

2、系統配置

  目前,國內超臨界機組高溫蒸汽系統疏水管路布置主要采用手動疏水截止閥+氣動疏水截止閥+疏水節流孔的形式(圖1)。手動疏水截止閥的作用主要是便于在氣動疏水截止閥出現問題后可以進行有效隔離,疏水節流孔的主要作用是在疏水閥打開時減小閥門前后壓差,減輕疏水對閥瓣部位的沖刷。疏水節流孔的孔徑一般約為閥瓣通徑的1/2,即節流孔面積相當于閥瓣面積的1/4。疏水系統設置節流孔既能滿足正常疏水能力要求,又能在疏水時降低閥門前后壓差,降低閥瓣部位的汽水兩相流沖刷。

疏水系統布置方式

1.手動截止閥2.氣動截止閥3.疏水節流孔

圖1 疏水系統布置方式

 閥瓣部位的沖刷溝痕

圖2 閥瓣部位的沖刷溝痕

3、常見問題

  在實際運行中,疏水截止閥經過一段時間的使用后,閥門雖然關閉,但閥門后的溫度仍然很高,接近于主蒸汽溫度。在拆解檢查時發現,閥瓣密封部位出現明顯的溝狀沖刷痕跡,密封面不能完好密封(圖2)。由于疏水截止閥閥瓣組件檢修處理時無法更換或重新加工,在閥門內漏后只能采取更換的措施。而現場實際使用的手動疏水截止閥雖然經過開關操作,極少出現內漏現象,且在手動疏水截止閥關閉后可以做到完好的隔離。經過分析,氣動疏水截止閥內漏與關斷壓力不足和關斷剛度不足等原因有關。

4、原因分析

  4.1、通流面積

  在600MW超臨界機組中,高溫蒸汽疏水管路的布置方式存在疏水截止閥后的節流孔面積與閥門通流面積差別大的問題(表1)。

表1 疏水系統通流面積

疏水系統通流面積

  4.2、氣動執行機構

  疏水系統閥門主要采用彈簧氣動薄膜執行機構,該機構價格低,可靠性高,但壓緊力和剛度較小,容易導致疏水截止閥出現因關斷力矩小閥瓣關閉不嚴產生的內漏現象。

5、設計

  為了在標準的氣動執行配置下閥瓣能獲得更大的壓緊力,疏水截止閥設計時的實際通徑選用公稱通徑的0.7~0.8(通流面積的0.49~0.64倍)倍。

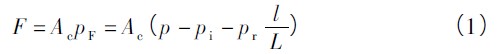
  5.1、執行機構輸出力

  有彈簧的氣動薄膜執行機構輸出力F為

  式中F———執行機構輸出力,N;Ac———執行機構有效面積,mm2;pF———輸入壓縮空氣壓力,MPa;P———信號壓力,MPa;Pi———彈簧的啟動壓力,MPa;Pr———彈簧作用于薄膜上的壓力變化范圍,MPa;l———閥門的位移量,mm;L———彈簧的全行程變形量,mm。

  根據式(1)分析,如需增加執行機構的輸出力F,就需要增加pF或增大有效面積Ac。但在實際的使用中,為減少生產成本,經常采用提高pF的方法增加F。但由于薄膜的耐壓能力有限,pF的增加也受到一定的限制。

  5.2、閥瓣密封面壓緊力

  閥瓣密封面部位的壓緊力越大則閥門的關閉越嚴密,壓緊力越小則閥門的關閉嚴密性受外界影響時越容易出現泄漏。氣動疏水截止閥整體作用于閥瓣密封面的壓緊力F'為

F'=F-Ft-Ff–Fw(2)

  式中F'———閥瓣密封面的壓緊力,N;Ft———作用在閥瓣上的不平衡力,N;Ft———閥桿所受的填料摩擦力,N;Fw———閥瓣各部件的質量,N。

  由于Ft和Fw受到設計和安裝條件的限制,無法進行調整,因此提高F',需要提高F和減小Ft。以DN25主蒸汽閥門為例,計算疏水截止閥工作時的反作用力(表2)。分析表2中數據,Ft占反作用力總和的83%,因此在實際設計計算中主要考慮減小閥瓣前后壓差所產生的反作用力Ft是最有效的方法。

表2 疏水截止閥工作時的反作用力

疏水截止閥工作時的反作用力

  5.3、選型

  在高壓蒸汽系統疏水截止閥門的選型上,按照較小閥瓣通徑的設計原則,即閥門的實際通徑取公稱通徑的0.7~0.8倍,可以將閥瓣前后壓差產生的反作用力Ft降低至原設計的0.49~0.64倍,閥瓣的壓緊力得到明顯的提高。以常規的超臨界主蒸汽疏水截止閥為例,一般設計氣動執行機構的裕度為30%,不改變執行機構的情況下,閥門通徑更改為原設計的0.7~0.8倍,則閥瓣的壓緊力為原設計密封面壓緊力的1.67~2.16倍(表3)。因此將閥門的通徑減小,提高了閥門的性能。①可以滿足設計疏水流量的要求。②閥瓣壓緊力提高,閥門的關閉嚴密性得到提高。③由于閥瓣壓緊力增加,閥門關閉后的剛度得到提高。④由于閥門閥瓣較小,閥瓣組件可以采取硬質合金整體堆焊加工,避免表面堆焊帶來的后續工藝流程,減少加工成本。

表3 改變閥瓣設計尺寸閥瓣壓緊力的變化

改變閥瓣設計尺寸閥瓣壓緊力的變化

6、結語

  在發電廠高壓蒸汽系統中,由于采用疏水截止閥+節流孔的設計方式,閥門可以選用較小的閥瓣通徑,建議選取公稱通徑的0.7~0.8倍(大于疏水節流孔直徑),既滿足實際使用的疏水量要求,又提高閥瓣密封面的壓緊力和整體氣動疏水截止閥的關閉剛度,避免氣源壓力不穩定或較小時造成的閥門內漏。