重力流長輸管道利用蝶閥開度調流調壓的規律研究
對于沒有調流減壓設施的重力流輸水工程,利用蝶閥開度增加局部水頭損失可降低管道壓力和調節管道流量。以引青濟秦管道為例,對4種直徑(DN1000~1600),流量在0.7~2m3/s,閥門旋轉角度在40°~70°的水頭損失進行計算,對蝶閥調流調壓的規律進行研究和總結。
蝶閥結構簡單,所需安裝空間小,操作便捷,具有良好的調節特性,可以實現快速啟閉以及全開時流阻損失小,因此應用廣泛。安裝在管道上的蝶閥不僅可用于控制管路的通斷,而且也可以用于流量和管道壓力的調節。
1、工程概況
對重力輸水管道設計[1],在設計流量下按公式計算得到的水壓線與實際情況相符,而小流量情況下計算的水壓線存在較大的剩余水頭。以引青濟秦管道為例,長距離輸水管道部分根據城市用水需求分期完成,一期取水位48m,二期取水位76m,設計運行壓力為0.4MPa[3],上游設計流量是5.36m3/s,下游管道設計流量為3.95m3/s,即日供水34.13萬m3/d。工程建成后日供水量最高為27.97萬m3/d,最少只有9萬m3/d,遠沒有達到設計供水流量,為保證管道安全,需要減壓運行。一期工程沒有減壓設施,在水量調度沒有更好的運行方法之前,只能依靠調整蝶閥群的開度來調節管道的壓力,控制管道的流量。雖然閥門開度的變化對不同管徑的影響規律是相同的,但是幅度差即調節曲線相差很大,為保證管道運行安全,必須掌握閥門開度消能規律。
2、蝶閥調壓調流的計算
重力流長輸管道的輸水能力,與管道上游的水位、輸水管道的斷面面積和管道的長度等特征有關。在輸水過程中水的能量損失分為兩種:沿程損失和局部損失[2]。蝶閥開度引起的水頭損失屬于局部水頭損失。
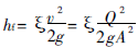
以一段管道為例(見圖1),閥門軸線與管道水平線的夾角α為蝶閥閥板旋轉角度,υ為管道內流速(m/s),則由閥門開度引起的局部水頭損失為:

式中 Q——管道過水流量,m3/s;
A——管道過水斷面面積,m2;
ξ——水頭損失系數;
ξ的數值基本上不受溫度、壓力和流量變化的影響與閥門開度有關。ξ取值見表1。
表1 不同開度ξ取值

對DN1600、DN1400、DN1200和DN1000四種管徑進行研究,單管流量0.7~2.0m3/s,閥門開度從40°~70°計算水頭損失,將結果繪制了多條調壓曲線,見圖2。

圖2 各管徑管道不同蝶閥開度時水頭損失
3、規律分析與操作經驗探討
(1)對于同一條管道,在同一流量下,閥門開度越小(α越大),引起的水頭損失越大;閥門開度越大(α越小),引起的局部水頭損失越小;同一條管道,開度相同,流量越大,引起的水頭損失越大。
(2)相同開度,管道直徑越小,消能曲線越陡,減壓效果越明顯。以α=50°為例,在流量1.5m3/s,DN1600消能0.9m,DN1000消能5.90m。
(3)α<40°時,對所有管道的壓力影響不大,即消能效果不明顯,此時只對流量影響較大。
(4)管道內大流量的情形下,開度不能過小(α不能過大)。重力流管道通常為低壓管道,水頭損失過大,對管道運行不利。
(5)α≥60°還需要減壓時宜半度操作,不論是哪種管徑,α從60°~65°消能效果非常快;65°~70°消能曲線很陡,在實際操作中要格外引起注意。
(6)利用閥門開度計算消能幅度時,注意α值增加使壓力減小的同時,流量也會減小;計算減壓效果時,要綜合考慮,這也是利用閥門開度消能和調節流量的復雜所在。
(7)避免α大角度運行。利用蝶閥開度消能和調節流量雖然在工程上應用廣泛,但是實際操作起來卻相當復雜。操作時應謹慎選擇α值較大的運行狀態。部分開啟的閥門,水流邊界條件改變,過水斷面急劇收縮,水流對閥門的沖刷力很大;閥門開度越小,沖擊力越大,同時水流不穩,容易裹挾氣體,因此對管道的整體運行安全非常不利,會造成閥門振動,地面振動,噪聲非常大,對于閥門本身有損害,對工程運行也會埋下隱患。在調度上,對復雜管道,應綜合考慮管道運行方案,盡量避免閥門小開度運行。
(8)由于計算過程中近似處理、實際操作中的開度誤差等因素影響,實際上,利用蝶閥群控制流量、水壓存在一定的近似性,精確程度不是非常高。
(9)擇機安裝調流調壓閥。調流調壓閥能有效調節長輸管道的壓力和流量,近年來的大型引水工程中有應用案例。本工程在條件允許時宜增設此裝置。
參考文獻
1 楊紀偉,鄭薇薇,李書芳,等.重力輸水管道水壓特性分析.人民黃河,2009.31(2):80~81
2 吳持恭.水力學.北京:高等教育出版社,1989.143~145,194
3 袁華俊.引青工程調度運用對策探討.河北水利,2010,(增刊):24~25