介電常數的基本概念

2013-04-22 武岳山 遠望谷信息技術股份有限公司

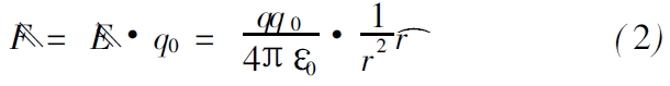
  根據靜電學的研究成果, 真空中一個孤立的電荷q 會在其周圍產生電場E,當另外的一個試驗電荷q0 進入到該電場中時會受到電場力的作用。由電荷q 所產生的電場強度為:

介電常數的基本概念

  其中, ε0為真空中的介電常數;r 為距離點電荷q 的徑向距離。一般來說,電場強度是一個矢量。試驗電荷q0 在距電荷q的距離為r 的點上受到的電場力為:

介電常數的基本概念

  根據力的反作用性質,電荷q 也同樣受到試驗電荷q0所產生的電場的力的作用且作用力的大小相等方向相反。根據式(1) 可知,真空中的介電常數ε0表征了孤立電荷q 在給定的距離r 上產生的電場強度的大小。如果將式(1) 中的真空條件換為某種電介質, 則同樣的孤立電荷q 所產生的電場強度將可表示為:

介電常數的基本概念

  其中,ε為該種電介質的介電常數。在實際應用中,人們通常將真空中的介電常數ε0選作一個參照,而將電介質的介電常數ε與ε0的比值定義成為一個無量綱的相對介電常數εr,如式(4) 所示:

介電常數的基本概念

  由于真空是一個理想的電介質模型( 沒有原子、分子) ,所以,在實際電介質中由于束縛電荷效應使原電荷q所產生的電場有所下降的情況在真空中不可能出現。因此, 針對實際電介質的相對介電常數Er 總是滿足大于或等于1。

  由式(3) 可見,介電常數ε表示了電荷q 在電介質中所產生的電場強度的大小的一個制約因素( 除了距離之外,也是唯一的制約因素) 。顯然,這種推論在靜電場的情況下是完全可以被接受的,但是若要將這一推論直接應用到交變電場的情況似乎還有些不充分。交變電場情況下電介質的微觀表現機理與宏觀作用的研究取得了一些成果,但是仍然有待更加深入的研究,也是目前電介質物理、量子物理的重要研究方向和內容之一。

  可以確認的是電介質的介電常數所表征的屬性在交變電場的情況下也會對交變電場產生影響。比如,交變電場在電介質中的傳播速度會降低, 頻率不變,波長會變短( 電磁傳播理論)并且介電常數越大,相應的改變也會越大。