恒壓式氣體微流量計的測量誤差分析

2009-12-01 孟揚 蘭州物理研究所

  恒壓式氣體微流量計(CPFM ) 被多個國家級實驗室選作為計量學設備, 用來校準真空規真空漏孔。該文從理論上對CPFM和帶參考室的CPFM的流量測量誤差進行了分析。測量過程中溫度波動和壓力波動對CPFM的流量測量誤差作用較大。為CPFM 增加一個適當的參考室, 可以減小測量過程中變容室溫度變化對CPFM 的流量測量誤差的貢獻。

1、引言

  本世紀60年代以后, 由于動態流量法真空標準的需求, 促進了高準確度的氣體微流量計的發展。恒壓式氣體微流量計因為具有量程寬、測量準確、輸出流量穩定等特點, 被多個國家級實驗室選作為計量學設備, 用來校準真空規和真空參考漏孔。

  本文從測量原理方面對恒壓式氣體微流量計可能存在的測量誤差進行理論分析, 并根據結果對恒壓式氣體微流量計的設計給出一些建議。

2、恒壓式氣體微流量計的測量誤差分析

  設恒壓式氣體微流量計的變容室中氣體在測量起始時的壓力、體積和溫度分別為P、V和T, 測量結束時的壓力變化量、體積變化量和溫度變化量分別為△P、△V 和△T,測量時間為△t, 則流量值Q由式(1) 表示。式中R為普適氣體常數。

(1)

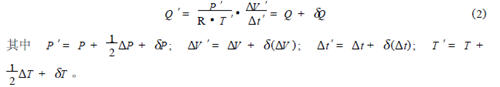
  設各參量的實際測量值分別存在測量誤差δP、δT、δ(△V)、δ(△t) 和δQ, 流量的測量值Q′為

  則流量的測量誤差為

 

  為便于計算和討論, 令流量的測量誤差相對值近似為

(4)

  由于δ(△V)<<△V、δ(△t)<<△t、δP<<P、△P<<P、δT<<T'、△T<<T',故可省略δ(△V)、δ(△t)、δP、△P、δT和△T的二次以上(含二次) 項, 則式(4) 可以簡化為:

  其中 。另外, 還需要考慮氣體微流量計的吸放氣和漏氣問題。如果其吸放氣率和漏率分別為QG和QL, 則流量測量誤差為

  將式(6) 的等號兩邊取絕對值, 則恒壓式氣體微流量計的流量測量誤差為


  其中 , 這一項誤差主要由測量過程中變容室的溫度波動和壓力波動引起, 溫度和壓力的變化被系數放大后, 使δQTP項較大。若要減小這項誤差, 除了在測量過程中盡量減小溫度波動和壓力波動以外, 更要在設計恒壓式氣體微流量計時盡可能增大△V和減小V 。但是必須注意, 增大△V會延長測量時間, 引起溫度波動和壓力波動增大, V太小又會帶來壓力測量的誤差和困難。

3、帶參考室的恒壓式氣體微流量計

  為了拓展恒壓式氣體微流量計的測量范圍, 變容室內氣體的工作壓力通常可以在多個數量級范圍設定, 而在對變容室內的氣體進行恒壓控制時, 又必須能夠靈敏地測量出變容室內氣體壓力的微小變化。顯然, 若采用同一只真空規來準確而靈敏地測量變容室內的氣體壓力及其變化是非常困難的。為此, 用于真空計量學的恒壓式氣體微流量計都增加了一個參考室, 測量前在參考室中封存與變容室中壓力大致相同的氣體。測量時, 參考室密閉,利用差壓式真空規測量變容室相對于參考室的壓力差DP, 測控系統控制變容室的容積使差壓式真空規的測量值恒定。

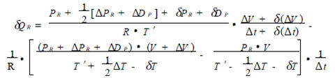
  假設測量起始時參考室的壓力和溫度分別為PR和TR , 測量結束時參考室的壓力變化量和溫度變化量分別為△P R 和△T R , 變容室相對于參考室的壓力差變化量為△ (DP) ,參考室壓力的測量誤差和差壓式真空規的測量誤差分別為δPR 和δDP; 流量的測量值Q′仍用式(2) 計算, 但其中的P ′為

(8)

  則流量的測量誤差為

  (9)


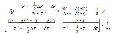
  同樣, 為便于計算和討論, 令流量的測量誤差相對值近似為

 

(10)

  省略去δ(△V)、δ(△t)、δPR、△PR、δDP、△DP、δT 和△T 的二次以上(含二次) 項, 則式(10) 簡化為

  再考慮到氣體微流量計的吸放氣和漏氣問題后, 則恒壓式氣體微流量計的流量測量誤差為

  由于變容室內的壓力是通過測量參考室的壓力和測量變容室相對于參考室的壓力差而得到的,故式(11)、(12) 也可以分別直接由式(5)、(7) 而得到, 即測量過程中變容室的壓力變化δP 等于δPR + δDP , 變容室的壓力測量誤差δP 對應于δPR + δDP。但是|δQ RTP/QR|項與|δQTP/Q|項絕對不僅僅是形式上的不同,|δQTP/Q|項中變容室的壓力變化△P 主要由恒壓控制效果確定, 與溫度變化△T 沒有關系; 而在|δQRTP/QR|項中則不同了, 測控系統僅控制△D P 恒定, △P R與△T可以有密切關系。

  在流量測量過程中, 參考室是密閉的。假設參考室在測量過程中無吸放氣和漏氣現象,△PR 完全是由于溫度變化而引起的, 則參考室中的氣體應當符合波義耳-馬略特定律:

(13)

  從式(13) 中解出△PR , 代入|δQ RTP/QR|,則

(14)

  其中, △DP主要由恒壓控制效果確定, 與溫度變化△T和△TR 都沒有關系; 而參考室的溫度變化量只要與變容室的溫度變化量接近, 就可以減小變容室的溫度變化對|δQRTP/QR|項誤差的貢獻。因此, 在設計恒壓式氣體微流量計時, 要使變容室與參考室的熱容量和環境條件都盡可能相同。

4、結論

  對于恒壓式氣體微流量計, 測量過程中變容室的溫度變化和壓力變化對流量測量誤差的貢獻比較大。

  用于真空計量學的恒壓式氣體微流量計都帶有一個參考室, 它不僅有利于對變容室的氣體壓力及其變化進行準確而靈敏地測量, 從而拓展氣體微流量的測量范圍; 而且只要設計合理, 還可以減小變容室的溫度變化對流量測量誤差的貢獻。