熱電偶真空計的工作原理

2014-10-10 郭方準 實用真空技術

  熱電偶真空計的構造如圖1所示,氣體分子承擔的熱傳導量與壓強成正比是熱電偶真空計的工作原理。

熱電偶真空計的構造圖

圖1 熱電偶真空計的構造圖

  金屬圓筒內部設有一根燈絲,兩端連接電極,通電后燈絲會發熱。燈絲的熱量會通過氣體分子碰撞燈絲、熱輻射和固體熱傳導等方式被奪走。設單位時間內以上述三種方式奪走的熱量分別為Qg、Qr、Qs,則平衡狀態下以下公式成立:

熱電偶真空計的工作原理

  式中

  Q———單位時間燈絲放出的熱量;

  R———燈絲的電阻;

  I———燈絲的電流。

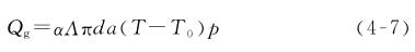
  氣體的平均自由程比燈絲的直徑大很多時,Qg 通過自由分子的熱傳導被表示為

熱電偶真空計的工作原理

  式中

  α———適當常數;

  Λ———分子的熱傳導率;

  d———燈絲直徑;

  a———燈絲長度;

  T———燈絲溫度;

  T0———金屬圓筒的溫度;

  p———氣體壓強。

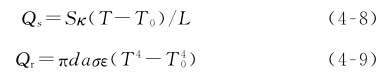
  Qs 和Qr 可以分別表示為

熱電偶真空計的工作原理

  式(4-8)代表電極的熱傳導,其中S是燈絲的斷面積,κ是固體的熱傳導率,L是電極的長度。式(4-9)代表熱輻射,σ和ε分別是玻爾茲曼常數和固體輻射率。如果保持T和T0一定,則式(4-8)和式(4-9)為常數。如果用I20R表示一定量的固體熱傳導和熱輻射,則式(4-6)可以表示為

熱電偶真空計的工作原理

  I0 是燈絲的電流,不斷彌補固體熱傳導和熱輻射而帶來的熱量損失。A是不依存壓強的常數。如果已知燈絲的電阻R、電流I0 及常數A,則可以通過式(4-10)求得壓強p。

  熱電偶真空計的壓強測量范圍在0.1~300Pa,具有以下優點:

  (1)結構簡單、容易制造、容易操作;

  (2)工作溫度、工作電壓較低;

  (3)所測讀數為全壓強,并且能夠實現遠距離的連續測量。

  但是,熱電偶真空計具有受溫度影響大、讀數時間滯后、讀數因氣體種類而異、讀數需要校準等缺點。