便攜式真空計校準裝置的校準結果與討論

2013-07-06 盧耀文 清華大學

1、漏放氣及極限真空度

  為了保證校準裝置本底壓力對測量不確定度的影響限定在一定范圍內,規定在可獲得標準壓力的前提下,采用靜態比對法和靜態膨脹法校準時的本底壓力不超過校準點壓力的1%,采用動態流量法校準時本底壓力不超過校準壓力的10%,靜態比對法和靜態膨脹法的本底壓力取決于校準室在靜態條件下的漏放氣。因此,靜態比對法和靜態膨脹法的校準下限取決于可獲得標準壓力和漏放氣,動態流量法的校準下限取決于可獲得標準壓力和校準室的極限真空度。

  漏放氣測試是在校準室真空度進入10-7 Pa,關閉閥門V2后用德國Leybold公司生產的B-A型真空計(IE414)測量校準室的靜態壓力上升,典型的實驗結果如圖3所示。從圖3中可以看出,校準室靜態壓力在10min內不超過5×10-5 Pa,實際校準時每個校準點所需時間在10min以內。因此在可獲得標準壓力的前提下,該裝置采用靜態比對法和靜態膨脹法的校準下限可達5×10-3 Pa。

校準室靜態壓力保持

圖3 校準室靜態壓力保持

  極限真空度測試是在裝置沒有明顯泄漏的條件下,采用對校準室加熱烘烤后降至室溫的方法獲得。實驗在室溫下以30e/h的速率升溫,在250℃的溫度下維持72h,然后以30e/h的速率降溫,在150℃溫度以下時對電離型真空計除氣,當溫度降至23℃時測得極限真空度可達4×10-7 Pa。因此在標準壓力可獲得的前提下,裝置在動態流量法下的校準下限可達4×10-6 Pa。

2、體積比

  在靜態膨脹法標準壓力計算中需要確定體積比。體積比采用膨脹原理通過實驗測量,實驗過程中溫度波動需在正負1℃以內,測量原理如圖4所示。首先將容積為V'1的標準體積V11和容積為V'2的校準室VC1抽真空,然后關閉閥門Vb和Vc,通過閥門Va向V11中引入壓力為p0的氣體,然后關閉閥門Va,打開閥門Vb將V11中的氣體膨脹到VC1中,膨脹后的壓力為p,體積比通過以式(4)計算

  在式(4)中標準體積V'1由中國計量科學院測量,容積為20.45mL(合成標準不確定度為0.1%)。通過多次測量,得到校準裝置的體積比為V'1/(V'1+V'2)=4.35×10-3,合成標準不確定度為0.77%。

體積比測量原理

圖4 體積比測量原理

3、小孔C3流導確定

  限流抽氣小孔C3是精密加工的圓形薄壁小孔,由于它的直徑較大,按照分子流理論可通過幾何尺寸計算

小孔C3流導確定

  式中:A0為小孔的面積;T為氣體熱力學溫度;M為氣體的分子量;R為摩爾氣體常數;K1為圓柱孔克勞辛修正系數,對孔厚度d進行修正;K2為束流效應修正系數;K3為自由程修正系數;K4為錐形圓孔修正系數。

  在校準室中氣體基本達到熱力學平衡,即K2=1;當氣體分子的平均自由程遠大于小孔直徑時,自由程修正系數K3=1;由于小孔是精密加工的薄壁小孔,故K4=1;克勞辛修正系數K1用Bermann公式計算

  小孔C3的半徑r和厚度d通過北京航天計量測試技術研究所計量,其值為6.123×10-3和1.12×10-4 m,代入式(6)可得K1等于0.991。將以上數據帶入式(5)中得到小孔C3對氮氣的流導為1.37×10-2 m3/s,合成標準不確定度為0.72%。

4、小孔C1和C2流導測量

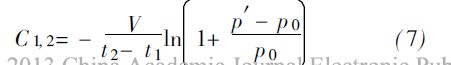
  小孔C1和C2的孔徑比較小,其幾何尺寸難以準確測量,因此分子流導通過實驗測量。小孔C1和C2流導測量原理如圖5所示,測量過程中溫度波動在正負1℃以內,將小孔安裝在VC3上(VC3體積由中國計量科學院計量,其值為0.512L,合成標準不確定度為0.1%),然后打開閥門Vp對VC3進行抽氣,當VC3中真空度進入10-5Pa后關閉Vp,通過閥門Vin向VC3中引入一定壓力的氮氣。采用滿量程為133Pa的CDG測量VC3中壓力,考慮到CDG的測量范圍和分子流條件限制,測量小孔C1和C2流導時,向VC3中引入的壓力分別小于133Pa和65Pa。當關閉Vin后打開Vout,則VC3中的氣體通過小孔被抽走,小孔分子流導通過式(7)計算

小孔分子流導

  式中,V為VC3的容積;p0、p'為VC3中氣體的初始及終止壓力;C1,2為小孔C1或C2流導;t1、t2為測量起始和終止時間。

  實驗數據表明,小孔C1、C2對N2氣的分子流導分別為3.1×10-8,1.1×10-6 m3/s,合成標準不確定度為0.9%。

小孔流導測量原理圖

圖5 小孔流導測量原理圖

5、返流比A的測量

  返流比A在分子流條件下對每種氣體是常數,其值需要通過實驗獲得,測量原理如圖6所示。測量時向VC1中引入穩定流量的氮氣,然后分別打開閥門Vu和Vd測量小孔C3兩端的壓力,對氮氣的返流比A通過式(8)計算

返流比測量原理圖

  圖6 返流比測量原理圖

  圖7為對氮氣返流比A的測量結果,在校準室壓力為10-6~10-2 Pa時,平均值為0.19,平均值的實驗標準偏差為3.2%?紤]到真空計的線性、重復性、穩定性及環境溫度的波動,經過評定得到返流比A的合成標準不確定度為6.2%。盡管返流比的測量不確定度較大,但它是一個修正量,在標壓力計算式(3)中對合成標準不確定度的貢獻為2.8%。

A測量結果

圖7 A測量結果

6、校準范圍和測量不確定度

  校準裝置集成了靜態比對法、靜態膨脹法和動態流量法三種校準方法,校準范圍和測量不確定度分別討論。

  采用靜態比對法校準時,校準范圍取決于參考標準的測量范圍和校準室本底壓力。參考標準選用滿量程為133和1.33×105Pa的CDG,其分辨率分別為4×10-3和4Pa。對于參考標準其分辨率要求不超過校準點壓力的1%,因而所用參考標準的測量范圍為1.33×102~4×10-1 Pa和1×105~4×102Pa。另外根據本文第一段可知,校準室靜態本底壓力可滿足的校準下限為5×10-3Pa,同時考慮到與其它方法的校準范圍相銜接,得到裝置在靜態比對法下的校準范圍為1×105~4×102 Pa和1×102~6×10-1 Pa,測量不確定度評定如表1所列。

表1靜態比對法測量不確定度評定

靜態比對法測量不確定度評定

  裝置在靜態膨脹法下的校準范圍取決于體積比、初始氣體壓力范圍及校準室靜態壓力保持。由于體積比為4.35×10-3,初始氣體壓力范圍是參考標準的精確測量范圍1×105~4×102 Pa和133~4×10-1 Pa,根據式(1)得到標準壓力范圍為4×102~2Pa和6×10-1~5×10-3 Pa。根據本文第一章可知,校準室靜態本底壓力可滿足的校準下限為5×10-3 Pa,同時考慮與其它方法的校準范圍相銜接,得到裝置在靜態膨脹法下的校準范圍為4×102~1×102Pa和6×10-1~5×10-3 Pa,測量不確定度評定見表2所列。

表2 靜態膨脹法測量不確定度評定

靜態膨脹法測量不確定度評定

  裝置在動態流量法下的校準范圍取決于可獲得的標準壓力和極限真空度。裝置所采用進氣小孔C1、C2的直徑約為0.02和0.1mm,入口壓力通過滿量程為133Pa的CDG測量,根據氣體分子平均自由程大于小孔直徑的分子流條件和CDG測量范圍,得到小孔C1入口壓力上限為133Pa(根據分子流條件得到上限為327Pa),小孔C2的入口壓力上限為65Pa。因此,根據式(3)得到采用小孔C1、C2進氣的校準上限為4×10-4,7×10-3 Pa。由于參考標準CDG的測量下限為4×10-1 Pa,得到采用小孔C1、C2進氣可獲得的標準壓力下限為4×10-5,1×10-6 Pa。根據本文第一章可知,在動態流量法下校準室極限真空度可滿足的校準下限為4×10-6 Pa,同時考慮到與其它方法的校準范圍相銜接,得到裝置在動流量法下的校準范圍為5×10-3~4×10-6 Pa,測量不確定度評定見表3所列。

7、校準裝置性能驗證

  為了驗證校準裝置的性能,選取兩臺不同量程的真空計在本裝置和其它兩臺更高精度的裝置上進行了校準,校準結果用每個點的修正因子(標準壓力與被校準真空計指示值的比值)表示,通過比較平均修正因子(所有校準點修正因子的平均值)的偏差驗證校準裝置的性能。在105~10-1 Pa范圍內校準了一臺Inficon公司生產的BCG450真空計,與靜態膨脹法基礎標準上校準平均修正因子的偏差為0.98%,實驗結果如圖8所示;在10-2~10-6 Pa范圍內校準了一臺B-A型電離真空計,與動態流量法真空校準裝置校準平均修正因子的偏差為1.2%,實驗結果如圖9所示。實驗結果表明,校準結果的偏差均小于所研制裝置的合成標準不確定度,因此該裝置的校準數據正確可靠。

105~10-1 Pa校準結果驗證

圖8 105~10-1 Pa校準結果驗證

相關閱讀:

  便攜式真空計校準裝置

  便攜式真空計校準裝置系統介紹

  便攜式真空計校準裝置的校準方法介紹

  便攜式真空計校準裝置的校準結果與討論