活塞壓力計概述

2010-01-04 岑月琴 DH一博登公司中國代表處

  目前,活塞壓力計作為壓力計量的主要手段,已經滲透到了幾乎所有的壓力范圍,這包括徽壓、氣壓和超高壓,活塞壓力計的測量不確定度也達到了壓力測的最高境界。作為最充滿活力的一種測壓手段,無貶,活塞壓力計將扮演越來越重要的角色。本文簡要介紹了活塞壓力計的原理、發展歷史、活塞分類和發展趨勢,并重點強調了一些概念。力圖能給出一個概括的介紹。

一、引言

  壓力作為非基本量,是由質量、長度和時間三個墓本量按照壓力定義公式導出的.物理學上有兩個基本定律,定義了兩種壓力側量標準,這就是活塞壓力計和液體壓力計。活塞壓力計直接按照壓力的定義公:P=F/A定義壓力,液體壓力計則由壓力作用在液面上產生的液柱差計算壓力:P=pgh。

  長期以來 ,液體壓力計作為基準,主要定義低于400kPa以下的壓力,而活塞壓力計在l00kPa直到2500MPa的壓力范圍內定義壓力,對于更商的壓力則采用特定物質的相變點作為壓力的固定點,采用插值法分度壓力。近年來,隨著活塞加工工藝水平的提高和圓度洲f技術的發展,活塞壓力計的計量性能得到了巨大的發展,活塞壓力計在氣壓段定義的壓力不確定度已經達到了3ppm,在徽壓段定義的壓力不確定度也已達到30ppm,而成本和維護費用遠底于液體壓力計。毫無疑問,活塞壓力計在壓力計里方面將扮演越來越重要的角色。

二、活塞壓力計介紹

2.1 工作原理

  活塞壓力計是以流體靜力學平衡原理及帕斯卡定律為墓礎測量壓力的,壓力定義公式如下:

p=F/A

  其中F為活塞及所加硅碼在重力場中產生的力,A為活塞的有效而積;钊麎毫τ嫷脑砣鏪圖1]由括塞組件和琺碼組組成。活塞在活塞筒內垂直地自由運動,壓力作用在活塞底面產生的力和加于活塞上端的硅碼重力相平衡;钊锥说牧黧w可為氣體或液體,活塞壓力計可用來測A氣體壓力和液體壓力;钊麎毫τ嫷纳隙艘约八庸璐a組有空氣包圍(絕壓測量則為真空)。

2.2 工作介質

  活塞壓力計按照設計分為氣介質和液體介質兩類。

  油介質活塞壓力計可扭蓋幾十千帕直到2500MPa的壓力,油作為傳壓介質同時也潤滑活塞系統,通常油介質活塞壓力計集成有壓力發生和調節裝置,使用起來非常方便。由于在做低壓側t時,必須考慮液柱差的影響,因此限制了油介質活塞在低壓下的應用。

  氣體活塞壓力計是非常適合低壓測量的,但是,如果用氣體潤滑活塞系統要求潔凈氣體,并且通過活塞間隙的氣體流量必須足夠小,否則,將影響活塞的分辨率。因此,氣潤滑氣介質活塞一般使用在7MPa以下。另一種為油潤滑、氣介質活塞,由于活塞間隙由油密封而變的非常穩定。氣壓側量可達150MPa。

2.3 活塞壓力計的質量水平

  一個活塞壓力計的壓力測量質量受兩各方面的影響:

  a) 我們對它的影響參致的認知水平
  b) 壓力測量時的平衡質質量

  好的活塞平衡質量要求活塞具有好的延遲時間和下降速度,這就要求在以下方面做工作:

  - 活塞加工質量和活塞系統材料選取
  -活塞的旋轉速度
  - 降低 旋 轉部分的重心
  -潤滑液體的選擇

2.3.1 加工質量和材料選取

  優質材料的選用以及優秀的加工工藝是活塞加工的關鍵,世界著名的活塞生產廠家可加工出活塞間隙只有十分之幾個徽米、延遲時間達幾個小時、下降速度優于0.lm m/分鐘的優質活塞。高硬度、低熱膨脹系數和彈性形變系數材料的選用,可使活塞最大限度的保持初始的幾何形狀。

2.3.2 活塞的旋轉

  旋轉的活塞及祛碼具有轉動慣量而保持垂直取向,使活塞處于活塞筒的中央,在活塞間隙中產生一個均勻的潤滑膜,從而減小活塞和活塞筒之間的摩擦力,合適的轉動速度可使靡擦力最小。轉動可以用手,也可以采用馬達,一般高梢度活塞壓力計采用馬達。

2.3.3 旋轉部分的重心

  為了使活塞處于活塞筒中央,一些活塞壓力計的祛碼承重盤設計為筒狀,使硅碼重心盡可能的低,這樣可保持活塞垂直井理想的在活塞筒中運動。

2.3.4 潤清流體

  潤滑流體的選擇也影響活塞的平衡質里,粘度大的流體,在通過活塞間隙時,摩擦力大,粘度小的流體在通過活塞間隙時,泄搖過快,難以穩定,因此,對于特定活塞,應該選擇合適粘度的流體,達到最佳折衷。對于購買的活塞壓力計,建議不要輕易更改廠家推薦的潤滑流體。

2.4 自動壓力控制

  當我們在 一個系統內設定一個穩定的壓力后,由于系統的泄件或沮度變化等原因,租住壓力是很不容易的;钊麎毫τ媴s不同,它具有自動壓力控制能力,一旦壓力被設定.由于活塞在上、下限之間運動,自動調節系統容積,保持壓力恒定。只要一個外部壓力發生器加壓活塞到工作位里,在活塞浮動期間,系統自動調節,保持壓力不變。

2.5 修正系數及其影響

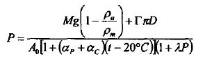
  這里我們再次提起壓力定義公式:P=F/A,壓力的測里依旗于我們對力F和面積A的認知。

2.5.1 力的確定

  處于重力場中的祛碼M產生的力可表示為:

F= M g(1--ρa/ρM)

  其中M為當地的重力加速度。在作表壓測量時,砝碼還受到大氣壓力的浮力,考慮到浮力影響,力可表示為:

  F=Mg (1-ρa/ρM)+ΓπD

  這里Γ是流體的表面張力系數,D為活塞的直徑,在作低精度測量時,該項可忽略。

2.5.2 活塞組件有效面積的確定

  活塞組件的有效面積是溫度和壓力的函數,可表示為:

  A=A0[1+(αc +αμ)(t-20℃)](1+λP)

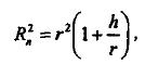
  A0為活塞組件在零壓和20℃下的有效面積.對于理想幾何形狀的活塞,活塞筒和活塞桿之間的間隙內流體的流動為層流,在中立面,層之間的相對流速為零,層之間沒有膝擦力,因此,中立面的半徑即為活塞組件的有效半徑,根據經典的粘性流體力學可知,兩個圓柱面間流動的流體中立面半徑為:

  其中R為活塞簡半徑,r為活塞半徑,取活塞間隙為h,則R=r+h,代入上式并取一級近似有:

  則活塞組件的有效面積為:

  A0=πR2n=πr2+πrh

  即:活塞組件的有效面積為活塞桿的面積與活塞間隙面積的一半。

  活塞組件的有效面積可由三種方法得到:

  a) 直接幾何尺寸側量
  b) 下降速度測量
  c) 由上級標準傳遞得到

  [I+αc+αP(t-20'C)]項為溫度變化修正項,αc和αP為活塞桿和活塞筒的線性熱形脹系數,t為活塞組件溫度。

  (1+λP)項為壓力形變修正項,λ為壓力形變系數,P為工作壓力。

  對于自由形變活塞,壓力形變系數可由理論導出,反壓型活塞,則壓力形變系數由實驗得到。

  一般活塞壓力計測量的壓力可表示為:

  要獲得必要的測量精度,必須對上式中的參數予以重視。