恒流量控制閥結構優化及流場數值仿真
針對現有的機械自力式恒流量控制閥閥芯受力-位移曲線在小位移范圍非線性變化的問題,影響流量的穩定性。為解決上述問題,對恒流量控制閥閥芯、擋環進行結構改進,并利用二維數值仿真技術對改進之后的流場進行計算,最終得到了閥芯受力-位移曲線呈線性變化的控制閥模型。為了驗證二維數值仿真結果的可信性,對包括出口支撐板在內的控制閥全流場進行三維數值仿真計算。結果可知,閥芯和擋環的結構以及支撐板的位置對恒流量控制閥的閥芯受力有一定影響。同時,通過三維流場數值仿真證明,采用二維流場數值仿真即可較好地得到控制閥的流場特性。
1、引言
在航空航天、機床液壓、空調、供水、灌裝等系統中大量使用恒流量控制閥,來使得在外負載變化的時候,仍然能夠維持控制閥流量的恒定,從而穩定執行機構的運行速度。恒流量控制閥在國外已經有30多年的應用歷史,但是在國內尚未大量普及,相關的研究也很少。
機械自力式恒流量控制閥是典型的恒流量控制閥,專門用于需要恒流量控制的流體管網系統。目前已公布的機械自力式恒流量控制閥構造趨于一致,它們的共同缺點是流場復雜,通流面積小,流阻大等。
林雄偉等人創新設計了一種機械結構簡單,通流能力強的機械自力式恒流量控制閥,但存在閥芯受力-位移曲線(以下稱為F-x曲線)在小位移范圍非線性變化的問題,難以滿足閥芯在全位移范圍(即0~15mm范圍)的F-x曲線最大線性擬合誤差小于5%的設計要求。本文將在林雄偉研究的基礎上,通過對閥芯和擋環進行結構改進,使閥芯F-x曲線最大線性誤差滿足設計要求。
2、恒流量控制閥原理
恒流量控制閥的基本結構還是節流口,通過節流口的流量通用公式為:

其中:
K———節流系數,由節流口形狀和流體性質決定; A———節流口的通流面積; Δp———節流口前后壓力差; m———節流口形狀和結構決定的指數。
在外界壓力變化時要想保持系統流量恒定,一種方法是利用壓差補償裝置使節流閥前后的壓差保持不變;另一種方法是在節流閥前后壓差變化時,自動調整節流口通流面積A,目標是使AΔPm的值保持不變。林雄偉便是根據第二種方法設計的恒流量控制閥模型,如圖1所示,其主要零部件有閥芯、支撐桿、擋環、線性彈簧和出口支撐板。

圖1 恒流量控制閥模型
閥芯套在支撐桿上,在流體對其施加的向右的流體作用力和彈簧施加的向左的彈簧力共同作用下在支撐桿上左右滑動,當此二力相等時閥芯停止運動,控制閥達到平衡狀態,此時通過控制閥的流量即為目標控制流量。由于該模型采用的是線性彈簧,因此在平衡狀態下,
F=k(x+xini) (2)
其中,F為閥芯所受流體作用力,k為彈簧剛度,x為閥芯向右的位移(圖1所示位置時閥芯位移為0),xini為閥芯位移為0時的彈簧預壓縮量,x和xini的和即為彈簧壓縮量。
根據式(2)可知,要求所設計的閥門能夠自動且合適地調整閥芯位置,從而實現恒流量控制功能的必要條件是:在某一恒定進口流量下,閥芯所受流體作用力隨閥芯位移呈線性變化。本文也將以此作為判定控制閥能否在外負載變化時自動維持其流量恒定不變的準則。
閥芯所受流體的作用力與閥芯前后表面流體的壓力有關,根據式(1)可知,在固定流量的情況下,閥芯前后的壓力又和閥芯與擋環所構成的節流口通流面積相關,所以,合理設計不同閥芯位置時的節流口通流面積是重點。由于擋環內徑一定,因此,研究重點最終轉化到閥芯的幾何曲線的設計上。
3、恒流量控制閥的閥芯曲線設計
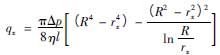
根據分析,由于本文中的節流口形式與同心圓環縫隙較接近,因此采用同心圓環縫隙流量公式對閥芯幾何曲線進行設計:

其中,η為流體的動力粘度,l為同心圓環的重合長度,rx為同心環內圓環半徑,即閥芯曲線縱坐標,R為同心環外圓環半徑,即擋環內圓半徑。
要想搭配線性彈簧實現恒流量的目的,則要求當閥芯在位移x處平衡時:
ΔpxS=k(xini+x) (4)
其中,Δpx為閥芯位移為x時節流口前后的壓差,S為閥芯最大橫截面。
結合式(3)和式(4)得到

其中:
r0———閥芯最右端截面半徑,取為5mm。
利用matlab反函數求解功能對式(5)進行求解,得到控制閥芯的幾何曲線坐標rx,如圖2所示。下文將以此作為原始模型的閥芯結構,其它零件尺寸參照,對原始模型的流場進行數值仿真分析。

圖2 閥芯幾何曲線坐標圖
4、二維數值仿真及優化
4.1、原始模型的數值仿真和分析
原始模型中忽略支撐板對流場的影響,采用效率較高的二維軸對稱模擬方式,對恒流量控制閥的流場進行數值仿真,可以節省實驗投入。計算區域為閥前3×D到閥后6×D。閥芯前后1×D的區域為整個流場中物理量變化最劇烈的部分,因此閥體網格分三段處理,對閥芯部分加密,整體都采用結構化網格,計算采用SIMPLE算法,湍流模型采用RNG模型。
邊界條件上,流動介質選擇常溫常壓下的水,入口采用1m/s恒定速度,從而保證了進口流量的恒定;出口邊界條件為壓力出口;收斂條件為:Continuity、X-velocity、Y-veloci-ty、Z-velocity、K、Epsilon殘差均小于10-5。
對閥芯位移分別為0mm,1mm,2mm,……15mm時計算閥芯受力,最終得到閥芯F-x曲線如圖3所示。

圖3 原始模型閥芯F-x曲線
根據前面的分析,要達到恒流控制的要求,閥芯的受力應隨閥芯的位移呈線性變化。但由圖3可以看出,在閥芯F-x曲線中,閥芯位移在0~5mm范圍內力的增長率稍小,當閥芯位移在11mm~15mm范圍內出現增長率減小甚至為負的情況,顯然無法達到線性變化的要求。針對這個問題,下面將對閥芯和擋環這兩個涉及節流口結構的零件進行改進。
4.2、閥芯結構的改進
由于原始模型的閥芯最左端的幾何曲線突然消失,流場發生突變,原有的趨勢沒能得以延續,從而影響了閥芯大位移范圍時的受力情況,導致閥芯F-x曲線末段呈非線性。因此在閥芯左端增加一定長度,將有利于維持其附近流場的延續性,本文增加了6mm的斜線段,其斜率與原始閥芯曲線最左端的斜率一致。將這一改進的模型稱為模型1;
對模型1進行數值仿真,得到其流場情況,圖4為原始模型和模型1的閥芯在位移15mm時的流場速度矢量對比圖。
由圖4可知,模型1在閥芯左端增加了6mm的斜線段,使得閥芯在大位移時節流口附近的流場更加光順,延續了閥芯位移為5~11mm時節流口附近的流場規律。

圖4 閥芯位移15mm時的速度矢量對比圖
圖4中,(a)為原始模型速度矢量圖,(b)為模型1速度矢量圖。
計算得到閥芯的F-x曲線如圖5所示。在閥芯左端增加6mm的斜段,閥芯大位移范圍的F-x曲線線性度有很大改善,與中段位移部分的增長率保持了較好地一致性。

圖5 模型1的閥芯F-x曲線
但是,閥芯F-x曲線在閥芯位移0~5mm范圍的增長率小于5~15mm范圍的增長率,整體仍然沒有實現線性增長的目標。下文將對擋環結構進行改進,減小閥芯在大位移范圍內的受力,以實現閥芯F-x曲線在0~15mm范圍整體線性度良好的目標。
4.3、擋環結構的改進
擋環與閥芯組合在一起構成圓環形節流口,流體通過節流口之后壓力降低,節流口之后擴展部分的結構決定了流體通過節流口之后的流場情況。
擴展部分的長度沒有一定的標準,主要依據經驗而定,如選擇過短,流體通過節流口之后擴張過快,容易引起擾動,產生紊流,從而造成內部摩擦損失,使流體壓力減小;如選擇過長,則流體與壁面摩擦損失增加,也會造成流體壓力減小。模型1中的擋環厚度為5mm,當閥芯位移小于5mm時,擴展部分的長度由閥芯位移決定;當閥芯位移大于5mm時,擴展部分的長度等于5mm,固定不變。因此擴展部分的長度變化趨勢在閥芯位移為5mm時發生了改變,這一點在圖5的閥芯受力曲線上得到了驗證。所以,適當增加擋環厚度,延續節流口后的擴展部分長度的變化趨勢,將有利于延續閥芯受力曲線的變化趨勢。
另外,由于擋環結構的原因,在節流口后靠近擋環內壁的區域出現真空區,真空區對流體產生抽吸作用,使流體流速增大,壓力減小。圖6為閥體內部流場的壓力云圖,圖6(b)、(c)所示為擋環下方真空區的壓力云圖和速度矢量圖。在控制閥進口壓力不變的情況下,真空度的大小取決于擋環內壁的斜度。所以,適當增加擋環內壁的斜度,減小真空度,將有利于削弱真空區對流體的抽吸作用,降低流體流速,從而增大節流口之后的流體壓力,使得閥芯大位移范圍時的受力減小,最終提高閥芯受力曲線的整體線性度。

圖6 擋環后的真空區
因此,可在模型1的基礎上對擋環的厚度和內壁的斜度進行改進,具體如下:
模型2:在模型1的基礎上,將擋環的厚度由原來的5mm增加到9mm;
模型3:將擋環厚度由9mm增加到13mm;
模型4:在模型3的基礎上,將擋環內圓柱面改為圓錐面,傾斜角為5°,其內圓半徑左大右小。
對這三種模進行數值仿真計算,得到閥芯在各個位移時的流場情況。
圖7為四個模型在閥芯位移為15mm時的流場壓力云圖對比。

圖7 閥芯位移15mm時的流場壓力云圖
由圖7可知,模型2僅僅將擋環厚度增加了4mm,控制閥左右兩端壓力變化不大;模型3進一步增加了擋環厚度,模型4在將擋環內圓柱面改為圓錐面,可以看出控制閥進口壓力減小,因而閥芯受力會減小。
將四個優化模型所計算得出的閥芯F-x曲線進行對比,如圖8所示。
由圖8可見,將閥芯和擋環進行優化后,所得到的的模型2、3、4都基本實現了閥芯F-x曲線全位移范圍呈線性變化的目標。
對這三種模型所得到的的F-x曲線進行線性擬合,可得每一條曲線的最大線性擬合誤差,結果見表1。

圖8 四個模型的F-x曲線對比
表1 F-x曲線的最大線性擬合誤差

由表1可知,模型4所得到的閥芯F-x曲線的最大線性誤差最小,并可滿足小于5%的設計要求。
5、三維數值仿真及優化
二維數值仿真雖然簡單快速,但能否反應真實的流場情況還有待驗證。同時控制閥模型中的支撐板由內、外圓環體和三條筋組成,如圖9所示,它對流場的干擾是否會對二維結果造成較大影響,還需經三維數值仿真進行檢驗。

圖9 恒流量控制閥三維模型
5.1、網格劃分與數值仿真
本文采用ANSYSICEMCFD提供的先進的O型結構化網格對恒流量控制閥的三維模型進行離散化處理。
計算區域仍采用閥前3×D到閥后6×D的區域;對閥芯前后1×D的區域軸向和徑向加密,周向不加密。同時為了更準確的模擬支撐板對流場的阻滯效應,對支撐板前后5×c的區域再進行周向加密,其中c為支撐板連接筋板的厚度。最終得到的網格如圖10所示。計算仍采用SIMPLE算法,湍流模型采用RNGk-ε模型。
5.2、結果與分析
支撐板到擋環安裝止口的距離為L,如圖11所示。分別計算當支撐板位置在L=36mm、32mm、28mm、25mm時的控制閥流場情況,如圖11所示為它們的壓力云圖對比。

圖10 恒流量控制閥三維結構化網格劃分
由圖11可知,支撐板前緣有一個高壓區,說明支撐板對流場具有一定的阻滯效應。當支撐板到閥芯的距離變小時,其阻滯效應所產生的高壓區慢慢靠近閥芯右端,并與閥芯右端的流場相互融合,使得閥芯右端的高壓范圍慢慢增大。

圖11 支撐板不同位置時控制閥壓力云圖
計算得到支撐板處于四個位置時閥芯位移為0mm~15mm的閥芯受力情況,并與簡化二維軸對稱計算結果相比較,如圖12所示。
由圖12可知,三維數值仿真與二維數值仿真的結果雖然有一定差別,但總體趨勢吻合較好,驗證了恒流量控制閥的簡化二維軸對稱數值仿真結果的可信性。同時通過三維數值仿真所得到的閥芯F-x特性曲線總體也保持線性增長趨勢,說明該流量閥在搭配線性螺旋彈簧時,能夠很好地實現恒流量控制功能。

圖12 恒流量控制閥三維與二維模擬結果對比
另外,由圖12中還可以看出,L=25mm對應的控制閥模型在閥芯位移較大時其受力相對其它的模型有些許變小,這是由于支撐板過于接近閥芯,其對流場的阻滯作用對閥芯右側表面的影響太大,使得閥芯右側表面的壓力偏大,因而閥芯受力會變小。
計算得到支撐板處于四個位置時所得到的閥芯F-x曲線最大線性擬合誤差如表2所示。
表2 不同支撐板位置時閥芯F-x曲線的最大線性擬合誤差

由表2可知,在逐漸減小支撐板與閥芯之間距離的時候,可以利用支撐板對流場的阻滯作用對閥芯F-x曲線進行適當微調,以提高其整體線性度,從而提高恒流量控制閥的控制精度。但是如果該距離太小,阻滯作用對閥芯受力的影響太大,閥芯F-x曲線的整體線性度反而會變差,例如當L=25mm。因此,支撐板的最優位置在L=28mm處,此時,閥芯F-x特性曲線的線性度最好。
6、結論
1)閥芯幾何尺寸以及擋環的結構均對恒流量控制閥的控制性能有重要影響,這兩部分的結構設計至關重要;
2)支撐板對流場有一定的阻滯作用,其位置對恒流量控制精度有一定影響;
3)較簡單的二維軸對稱數值仿真能較好地反應恒流量控制閥的流場特性,其結果可以作為恒流量控制閥設計的依據。