V形調節球閥閥芯結構與等百分比流量特性分析
通過理論分析V形球閥的流量與閥座處流通面積的關系,導出了流通面積、閥芯V形切口和球冠半徑的近似計算式。利用等百分比流量特性優化閥芯V形切口和球冠半徑,使V形球閥的設計流量特性與等百分比流量特性趨于一致,減小了流量系數誤差,并給出了一個優化設計實例。
在工業過程自動控制中,由于V形球閥調節比大,調節元件可切斷流體中的纖維、粘性懸浮雜質,而被廣泛應用于造紙、紡織等行業的物料控制和調節。目前,我國V形球閥調節球閥的調節特性和國外同來產品比較缺點在于調節范圍較窄、調節特性和實際工藝流程的調節特性存在較大誤差,主要原因是不同開度下的流通面積滿足不了實際流通量。
筆者通過理論分析V形球閥不同開度下的流量與閥座處流通面積的關系,優化閥芯球結構,使V形球閥的設計流量特性與等百分比流量特性趨于一致,減小調節誤差,增強V形球閥的可調性和靈敏度。
1、流通面積結構
筆者分析的V形調節球閥,其主要參數為:壓差Δp=100kPa,可調比R=50,介質為水,結構如圖1所示。V形球閥的閥芯是球冠,球冠底圓的邊緣上開有一個V形切口(圖2)。圖2中的V形切口由一個圓角為r的圓弧和與圓弧相切的有一定角度的兩端切線構成,t為球冠投影中心至V形切口頂點距離,V形切口的角度一般取60°。V形球閥是通過改變閥芯、閥芯的V形切缺口與閥體的流道構成的流通面積來調節設備和管道的介質流量,其不同開度下的流通面積由閥體通道、V形切口和球體球冠的組合面積構成。

圖1 V形球閥的結構

圖2 V形切口形狀
按照規定,控制閥的相對流量系數與等百分比相對流量系數的誤差必須小于10%。通過測試該閥的流量特性,測試結果見表1。
表1 原結構測試相對流量系數與等百分比相對流量系數對比 %

由表1可以看出,其在不同開度下的相對流量系數均大于等百分比的相對流量系數;在相對開度10%~50%時,相對流量系數誤差均大于10%,最大誤差達31.2%,因此,必須優化閥芯結構,確定流通面積與流量系數關系,減小調節誤差。
2、流量特性計算分析
V形球閥的流量特性近似于等百分比流量特性,其數學表達式為:

式中 Kv———對應θv的流量系數;
Kmax——對應θmax的系數;
Qi———對應θv的流量,m3/h
Qmax——對應θmax的流量,m3/h;
R———可調比,R=Qmax/Qmin;
θv———調節閥的開度,(°);
θmax———調節閥的最大開度,(°)。
3、流通面積確定、計算和閥芯的結構優化
3.1、流通面積的確定
V形球閥的節流原理近似于孔板節流原理,按照伯努力方程,得到V形球閥不可壓縮流體的流量公式,即:

式中 Ar———調節閥相對開度下的流通面積,cm2;
Δp———調節閥的壓差,Δp=100kPa;
Q———流體體積流量,m3/h;
ξ———阻力系數,
ρ———流體密度,g/cm3。
令

由等百分比流量特性得到的球閥流通面積Ar為依據,確定閥芯的結構參數,則球閥的流量特性能夠符合等百分比流量特性。
3.2、流通面積的計算
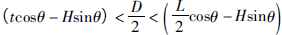
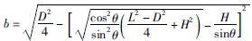
閥芯不同開度的模型如圖3所示,V形球閥流道通徑為D;閥芯球冠半徑為R,弦長為L,弦高為H。以球冠中心O點為坐標原點,流道中心線為OZ軸,OY軸垂直于流道中心線,OX軸垂直于YOZ平面建立直角坐標系。以OX軸為轉動軸旋轉閥芯,球冠上的a點旋轉θ角后到達a'點,V形切口進入閥體流道,則球閥的流通面積由閥體流道、V形切口和球冠圓弧構成。

圖3 閥芯轉動模型
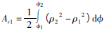
將旋轉后的球冠與閥體流道投影到XOY平面,如圖4所示,得到球閥不同開度下的流通面積。圖4中,閥芯旋轉不同的θ角后,分別得到4種由球冠圓弧1、V形切口2和閥體通道3的組合面積(圖4a~d),其中陰影部分為閥門流通面積,a、b兩點分別為閥芯邊緣和閥體流道邊緣的交點。計算4種陰影部分面積,可求得不同開度下閥門的流通面積。

圖4 球閥不同開度下的流通面積示意圖
1———球冠;2———V形切口;3———閥體通道
3.2.1、V形切口與閥體流道構成流通面積計算
當






3.2.2、球冠的圓弧面與閥體流道構成流通面積計算
當


因此,流通面積為:



3.3、閥芯結構尺寸優化
令Ar分別等于Ar1、Ar2、Ar3、Ar4,通過計算機編程運算,得到不同開度下的閥芯球冠的V形開口圓角ri、球冠半徑Ri。再經過程序優化分析,確定V形開口圓角r、球冠半徑R,使球閥設計流量特性趨近于等百分比流量特性。
4、試驗分析
對優化后的V形調節球閥按規定的試驗程序進行流量特性測試,結果見表2。
表2 等百分比相對流量系數與試驗相對流量系數對比 %

從表2中看出,在小開度下(0~40%),等百分比流量特性計算的相對流量系數大于試驗相對流量系數,最大誤差為9.6%;在大開度下(50%~100%),等百分比流量特性計算的相對流量系數小于試驗相對流量系數,最大誤差為8.5%。誤差均小于10%。
5、結束語
筆者通過優化V形調節球閥的結構,使其流量特性趨近于等百分比流量特性。結構優化后的試驗相對流量系數測試數據與等百分比的相對流量系數比較,其相對流量系數的最大誤差小于10%,符合標準的規定,調節特性明顯優于優化前的結構。所推導出的等百分比流量特性的V形球閥在不同開度下的流通面積計算公式,也為工程設計提供了一種計算方法。