基于石蠟材料驅動的溫控閥的建模與研究
對石蠟材料驅動的溫控閥的結構和工作原理進行了分析,基于流體力學理論和石蠟的熱膨脹性能,建立了溫控閥在工作過程中的數學模型,此數學模型揭示了溫控閥開口量變化和溫度變化之間的關系,為研究該溫控閥的性能提供了理論基礎。
石蠟是一種非常穩定的物質,它幾乎不與任何物質發生化學反應,這也是它的名字的由來,正因如此,石蠟在相變的過程中沒有化學反應的發生,也就是說,其熔化和固化純粹是物理變化過程。而且,石蠟由固態熔化成液態時,其體積急劇增加;當由液態返回固態時,又立刻發生相同量的體積收縮。國內外學者利用石蠟的這些性質,將之作為熱敏材料應用于微閥、微泵和溫控閥等等。
石蠟能在大型機動車冷卻系統的溫控閥上得到應用,除了石蠟是一種穩定的物質,在相變過程中其體積能發生急劇的膨脹之外,更重要的是,此種溫控閥在冷卻系統中能起到自適應的作用,具有節能的功效。這是因為:采用石蠟作為熱敏材料的溫控閥能根據溫度的高低自動調節閥的開口大小,從而使流過該閥的流量自動與系統溫度相適應。當系統溫度升高時,通過自動控制流量使冷卻系統中的馬達轉速加快,于是,馬達帶動的冷卻裝置就加大降溫力度;同理,當系統溫度降低時,降溫力度下降。由此可見,此種溫控閥能減少人為主動施加的控制,從而降低系統的能耗。因此,有必要對這種溫控閥的性能進行深入研究。
1、溫控閥的結構及工作原理
為了建立基于石蠟材料驅動的溫控閥的數學模型,首先需要對此溫控閥的結構和工作原理進行分析。圖1所示的是基于石蠟材料驅動的溫控閥的結構圖,從該圖可以看出,此閥和直動式溢流閥的結構類似,也是由閥體、閥座、閥芯、彈簧和調節部分構成,但是,直動式溢流閥的調節部分是由調節手輪構成,而溫控閥的調節部分則是一個密封有石蠟的感溫元件構成,此感溫元件由圖1所示的7、8、9、10、18、20等部件構成。
圖1所示的溫控閥的工作原理:當受控對象的溫度升高時,感溫元件的銅體10就將此溫度的變化迅速傳給密封的石蠟20,于是石蠟發生體積膨脹,通過橡膠套9的變形,石蠟體積的變化被轉化為推桿8的直線位移,推桿8推動導套5壓縮主彈簧17,從而推動閥座套4,閥座套4又壓緊錐閥芯3,使閥的開口量減小;當受控對象的溫度降低時,石蠟體積縮小,彈塑性良好的橡膠套9促使推桿8收縮,同時,弱彈簧14和主彈簧17的回復力也加速推桿8的收縮,從而使錐閥芯3遠離閥口,從而閥的開口量增大。

圖1 溫控閥的結構圖
2、溫控閥開口量隨溫度變化的數學模型的建立
由上對溫控閥的結構和工作原理的分析可知,當溫控閥處于工作狀態時,錐閥芯3左端受到油液的作用力,右端受到彈簧的作用力,其受力情況和直動式溢流閥在工作過程中的受力情況類似。但是,溫控閥主彈簧的調定壓力在工作過程中是隨著石蠟的熱脹冷縮而不斷發生變化的,亦即隨系統溫度的變化而發生變化;而直動式溢流閥的彈簧力一旦人工調定后,在工作的過程中其調定壓力是不變的。由此可見,溫控閥在工作過程中的數學模型和直動式溢流閥的數學模型存在本質差異。為了研究此種溫控閥的性能,需要建立該溫控閥在工作過程中的數學模型。
2.1、油液流經閥口的瞬態軸向推力方程

圖2 溫控閥閥口放大圖
為了分析溫控閥在工作過程中的受力情況,將圖1的錐閥芯的錐部及閥腔進行放大,如圖2所示。由圖2可以分析得知,油液流經錐閥口的瞬態軸向推力Pd由三部分組成,即
Pd=F1+F2-|F3| (1)
式中:F1為油液對錐閥面的液壓力;F2為閥座倒角S上油液對錐閥的作用力;F3為油液流經錐閥口的液動力。
在圖2中,對閥腔內的油液柱運用動量法則,則有
式中:L為閥腔的長度,A為閥腔的過流面積,ρ為流體的密度。于是,油液對錐閥面的液壓力F1的計算式為
(3) 由流體力學相關理論可知,F2和F3的計算式分別為
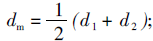
(4) 將式(3)、(4)、(5)代入式(1),考慮到閥座與閥芯配合處的倒角S很小,d1,d2與dm近似相等,經過化簡,可得
式中:Ae=A1-KVx。
2.2、閥芯的運動方程
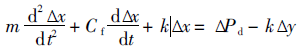
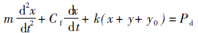
設圖2所示的錐閥芯質量為m;油液的黏性阻尼系數為Cf;溫控閥主彈簧剛度為k;彈簧預壓縮量為y0;石蠟體積發生變化而導致圖1中推桿8的位移輸出量為y;則在閥的開口為x時,閥的運動方程式為
將上式寫成增量表達式,則
由流體力學相關理論可知,當閥座孔倒角很小時,流經閥口的流量公式為
(10) 將此式線性化,用增量表示,則可以表示為

在式(11)中,有,C1=Q/x,則可得
聯立式(7)、(9)和式(12),可得
式中:Cfe=Cf+ρLeC1;Kf=k+KVps。
2.3、石蠟的體積膨脹方程
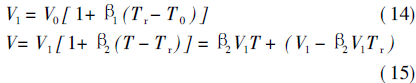
石蠟單獨在低溫區、相變區和高溫區的體積膨脹都與溫度近似為線性關系,不妨設石蠟在低溫區的體膨脹系數為β1,在相變區的體膨脹系數為β2。設石蠟在室溫T0時的體積為V0,溫度達到熔點Tr時石蠟的體積為V1,石蠟處于相變區某溫度T時的體積為V。溫控閥在工作過程中,石蠟處于相變區,下面來推導石蠟在相變區時,溫度的變化ΔT引起圖1所示推桿8的位移輸出量變化Δy的關系式。

將式(15)寫成增量的形式,有
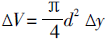
由于石蠟的體積膨脹被轉換為圖1所示的推桿8的位移,則
式中:d為圖示1所示推桿8的直徑。綜合式(14)、(16)和(17),可得
2.4、溫度變化引起溫控閥開口量變化的傳遞函數
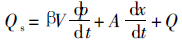
考慮到圖2所示的閥腔容積V會因壓力的變化而引起壓縮,從而會對流量造成影響,另外,因閥芯移動而使進出閥口的容積發生變化,從而也會對流量造成影響,為此,可得到如下流量連續方程:
將此式用增量的形式表示
式中:Qs為閥腔入口的流量,Q為流經錐閥的流量,β為油液壓縮率。
聯合式(11)、(13)和(20),并對式(13)兩邊再對時間t取導,可得


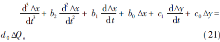
由式(21)可知,Δx與Δy的常微分方程關系與ΔQs有關系,而ΔQs是圖2所示的閥腔入口流量的變化,現在來討論在Qs為常數,即ΔQs=0時,閥開口量Δx與溫度變化$T的傳遞函數關系。
當閥腔入口流量不變時,聯合式(18),式(21)可以寫為
(22) 式中:α1=c1β3,α0=c0β3。
對式(22)兩邊進行拉氏變換,整理可得
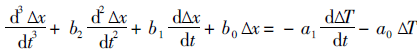
(23) 式(23)即是閥腔入口流量不變時,在石蠟相變區溫度范圍內,溫度變化引起閥開口量變化的傳遞函數,公式中各系數表達式如前所示。由式(23)可知,溫度變化引起溫控閥開口量變化的傳遞函數是一個高階非線性系統,式中的負號表示當溫度升高時,開口量減小,溫度降低時,開口量變大。
3、結束語
通過對基于石蠟材料驅動的溫控閥的結構和工作原理的分析,確知溫控閥的調定壓力在工作過程中是隨著系統溫度的變化不斷發生變化的,其數學模型和直動式溢流閥的數學模型存在本質差異。在此基礎上,從流體力學理論和石蠟的熱膨脹性能兩方面出發建立了溫控閥在工作過程中的數學模型,此數學模型揭示了溫度變化引起溫控閥開口量變化的內在聯系,為溫控閥的性能研究奠定了基礎。







