氣動調節閥粘滯特性的參數辨識
氣動調節閥通常會因為粘滯故障而導致回路中出現振蕩現象,并會降低系統的控制性能,因此有效的辨識出粘滯特性的參數是消除其不利影響的關鍵。該文通過對調節閥雙參數粘滯模型進行描述函數分析,提出一種簡單有效的數值解析方法得出粘滯特性的雙參數的估計值。最后通過仿真實例驗證了該方法的有效性。
調節閥的非線性因素,尤其是粘滯故障,是導致閉環控制系統產生振蕩的主要原因。介紹,近30%的閉環控制系統存在的振蕩現象是由調節閥的粘滯故障造成的,因此非常有必要準確地對調節閥的粘滯故障進行量化以消除其不利影響。提出一種粘滯特性單參數辨識方法,但該方法的缺點是單參數粘滯模型不能準確的描述氣動調節閥實際的粘滯特性。基于橢圓擬合的方法,區別是參數尋優范圍和方法不同,但這種基于橢圓擬合的方法易受控制器和過程對象的影響。綜上所述,粘滯參數的辨識問題目前并沒有有效的方法。本文基于描述函數法分析,提出一種辨識調節閥粘滯雙參數的新方法。
1、調節閥粘滯特性介紹
給出了調節閥粘滯特性的如下定義:在輸入信號作用下,調節閥在平滑運動前會出現跳變現象,并且跳變是以輸出量程的百分比為量綱的。出現這一現象的原因是調節閥的閥桿所受到的最大靜摩擦力大于平滑運動中其所受到的動摩擦力而造成的。
對調節閥粘滯特性的建模可以分為3類,分別是物理模型、單參數模型和雙參數模型。其中單參數模型和雙參數模型是數據驅動模型。物理模型的缺點是模型中存在多個未知且難辨識的參數,在實際運用中具有很大的困難。而單參數模型并不能準確的描述調節閥的實際特性。為了更好地描述調節閥的粘滑現象,提出一種基于雙參數S、J的調節閥粘滯模型,其中S表示調節閥的死區參數加粘滯參數,J表示臨界跳變參數。基礎上改進了雙參數S、J模型。本文中的調節閥模型采用的正是文獻6提出的基于雙參數S、J的調節閥粘滯特性改進模型。
帶有粘滯故障的調節閥閉環控制框圖如圖1所示。圖1中r(t)、e(t)、u(t)、uN(t)、y(t)分別表示給定輸入、跟蹤誤差、控制器輸出、調節閥輸出、系統輸出。其輸入與輸出關系如圖2所示。

圖1 帶有粘滯故障的調節閥閉環控制框圖

圖2 控制器輸出u(t)與調節閥輸出uN(t)關系圖
2、粘滯模型的描述函數分析
一般情況下,當調節閥粘滯非線性模型的輸入為正弦信號u(t)=Asinωt時,非線性模型的輸出是非正弦周期信號。用N(A,ω)表示調節閥非線性模型的描述函數,并設圖1所示的控制系統具有零參考輸入,則有:

式中,y表示系統輸出,C(jω)表示控制器的頻域特性,P(jω)表示過程對象的頻域特性,A和ω分別表示非線性模型正弦輸入信號的振幅和角頻率。
設G=CP且當y≠0,并且對于大多數非線性結構包括本文所使用的雙參數粘滯模型,其描述函數并不受輸入信號u頻率ω的影響。所以有:

出現粘滯故障的調節閥在正弦輸入u(t)=Asinωt時,其輸出如圖3所示。圖3中d表示S-J。

圖3 粘滯故障時調節閥在正弦輸入u(t)時的輸出uN(t)示意圖
圖3中,調節閥粘滯模型的輸出表達式可寫成:

樣 (3)
所以有:

(4) 式中

3、粘滯參數辨識
3.1、辨識方法
圖1中,當控制信號u在粘滯特性作用下以振幅A0、頻率ω0做周期振蕩時,一定有對應的粘滯參數(S,J)滿足式2。則此時參數(S,J)即是粘滯特性的計算值。
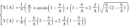
令x=S/A,y=J/A,綜合式2、4可得出:

(5) 式中,

設式5的解為(x^,y^),則S^=A0x^,J^=A0y^即粘滯特性參數的估計值。令-1/G(jω0)=x0+jy0,
則有:

為求得x和y的估計值,可通過構造目標函數:

在(x,y)的取值范圍{(x,y)|0≤y≤x,0≤x≤2}內通過參數尋優得出目標函數F(x,y)的最優解(x^,y^),則可求得粘滯模型的估計值S^=A0x^,J^=A0y^。
3.2、仿真實例
仿真采用PI控制器

和一階延遲過程模型

過程模型利用改進的雙參數S、J模型。仿真時,通過設置不同的S、J參數可得出控制器輸出u(t)與系統輸出y(t)。根據控制器輸出的振蕩圖形,可求得控制器輸出u(t)的振幅A0和周期ω0。粘滯參數的辨識結果如表1所示。eS(%)和eJ(%)分別表示S、J的百分誤差。
表1 粘滯特性參數的辨識結果

4、結束語
本文提出了一種新的辨識調節閥粘滯參數的方法,該方法根據描述函數分析,提出一種簡單有效的數值解析方法。該方法利用控制信號的幅度和頻率以及系統中線性部分的傳遞函數,通過對對構造的目標函數進行參數尋優,估計出粘滯特性的S、J參數。從表1可看出辨識參數接近于實際參數,百分誤差不超過5%,說明該方法具有有效性和實用性。