淺議小型集氣站儀表風氣源改進
針對目前靖邊氣田集氣站儀表風氣源單一、漏點多、耗氣量大,使用的氮氣瓶更換頻繁,存在氣源中斷,影響站內截斷閥安全使用等情況,提出了新的儀表風氣源供氣方式,以經濟、簡單的設計思路,徹底解決了小型集氣站的儀表風氣源問題。
1、現狀及問題
截至目前,靖邊氣田已在多座集氣站的進站區、外輸區安裝了緊急氣動截斷閥,其儀表風氣源都為充裝高壓氮氣的氮氣瓶。集氣站緊急氣動截斷閥的儀表風在運行過程中暴露出活接頭、絲扣、截斷閥本體、電磁閥及減壓閥密封圈部件受環境溫度變化頻繁漏氣等問題,氮氣瓶的頻繁更換增加了氣田生產維護成本和員工的工作量,如不及時更換,生產過程中就會存在一定的安全隱患。
2、不同儀表風供氣源的比較
靖邊氣田集氣站儀表風氣源為0.6~0.8MPa的氮氣,只要滿足站內的儀表風氣源壓力,就可作為供氣源。因此,使用氮氣瓶、微型空氣壓縮機或集氣站內天然氣3種氣源均可。
2.1、氮氣瓶氣源
(1)氮氣源供氣工藝流程。氮氣瓶作為站內儀表風氣源(即動力氣源),其瓶組高壓氮氣經供氣總管減壓閥降壓至0.6MPa,降壓后的氮氣經管線連接到進站區和外輸區緊急氣動截斷閥。氮氣源供氣流程見圖1。

圖1 氮氣源供氣工藝流程示意圖
(2)氮氣瓶作為儀表風氣源的缺點。根據緊急氣動截斷閥的工作原理可知,只有開啟和關閉時消耗氮氣,運行過程不消耗氮氣。現場試驗發現,緊急氣動截斷系統出現泄漏點,暴露出活接頭、絲扣、截斷閥本體、電磁閥及減壓閥密封圈部件受環境溫度變化頻繁漏氣等問題。集氣站緊急氣動截斷閥氮氣消耗過快,平均1瓶氮氣可使用10~15天,少數集氣站1瓶氮氣可使用2~3個月,約有8個集氣站1瓶氮氣只能使用3~5天。氮氣瓶的頻繁更換,增加了截斷閥自動/手動轉換次數,造成截斷閥故障增多、使用壽命下降,進而增加了緊急氣動截斷閥的運行及維護成本。
(3)解決措施。第一,儀表風管線與截斷閥、電磁閥及氮氣源接口盡量減少活接,使用生料帶密封纏繞,對查明泄漏點及時整改。對肥皂泡查不出的漏點,使用其他驗漏方法,如在儀表風氣源中加入加臭劑或色素等示蹤劑查找露點。第二,對因工作環境溫度而使電磁閥、減壓閥密封圈等部件塑性變形損壞,對緊急氣動截斷閥電磁閥、減壓閥密封圈部件進行重新選型。
2.2、微型空氣壓縮機氣源
(1)微型空氣壓縮機的選型。目前,市場上的微型空氣壓縮機主要有往復式、螺桿式和離心式3種機型。往復式壓縮機在國內微型機中技術較為成熟,費用較低,每座集氣站配有外電和燃料發電機,故推薦選用電驅往復式空氣壓縮機。
經調研,適合本站的微型空氣壓縮機根據排氣量分3類機型:排氣量\0.1m3/min;排氣量\0.2m3/min;排氣量\0.3m3/min。
(2)供氣工藝流程及技術要求。空氣經過濾器進入空氣壓縮機,壓縮后的空氣經過冷干機后進入過濾器過濾,過濾后的空氣進入空氣儲蓄罐儲集,并進入站內儀表風總管。
微型空氣壓縮機供氣原理與氮氣瓶供氣原理類似,壓縮后的空氣替代氮氣作為供氣源向緊急氣動截斷閥供氣;不同之處為當空氣儲氣罐氣量達到某一設定壓力時,微型空氣壓縮機自動開啟并向儲氣罐充氣,達到某一設定壓力后,微型空氣壓縮機自動關閉。微型空氣壓縮機供氣系統中加入了冷干機、過濾器和減壓閥,其作用是冷凝、干燥壓縮后的空氣,進一步過濾、調節壓縮后空氣壓力。
(3)空氣壓縮機理論開啟頻率計算。已知集氣站站內緊急氣動截斷閥的理論耗氣速度為1.5L/s,即每分鐘消耗氮氣90L,結合微型空氣壓縮機的相關性能參數,選擇排氣量為0.1m3/min的微型空氣壓縮機即可滿足截斷閥的氣量需求。
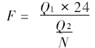
結合目前靖邊氣田集氣站緊急氣動截斷閥氮氣瓶使用周期,可得出微型空氣壓縮機理論開啟頻率公式

式中
F為微型空氣壓縮機理論開啟頻率(h/次);
Q1為微型空氣壓縮機儲氣罐壓力下降到0.6MPa時的消耗氣量(L);
Q2為氮氣瓶壓力由12.5MPa下降到0.6MPa時的消耗氣量(L);
N為氮氣瓶使用周期(d)。
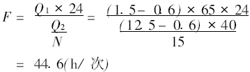
按1瓶氮氣最少使用周期為15d計,且微型空氣壓縮機儲氣罐容積至少65L,排氣壓力為1.5MPa時,微型空氣壓縮機的理論開啟頻率計算結果如下

即微型空氣壓縮機至少每隔44.6h開啟1次。
(4)空氣壓縮機組的優點。第一,相比氮氣瓶供氣方式,微型空氣壓縮機供氣方式的優點是壓縮空氣成本低廉,壓縮的空氣是取之不盡的,可以持續不間斷地向緊急氣動截斷閥供氣,減少了工作量,提高了工作效率,解決了站內儀表風漏氣而引起的運行成本增加的問題。第二,空氣壓縮機理論開啟頻率低,避免頻繁啟動,降低了動設備的故障率,保證了集氣站內儀表風系統運行的穩定。
2.3、集氣站內自用氣氣源
(1)站內天然氣作為儀表風氣源工藝流程。利用集氣站內外輸天然氣作為儀表風氣源,將外輸區自用氣管線增加調壓器,適合儀表風壓力的天然氣連接到氣源總管。
(2)天然氣作為儀表風氣源的優點。其優點包括:1供氣穩定;o整個供氣流程中鋼管連接都采用焊接方式,減少了活接頭;。整個供氣系統只有安裝費用,運行成本低;。與微型空氣壓縮機相比,無需機械設備的維修與保養及專業技術人員的技術支持。
(3)天然氣作為儀表風氣源的缺點。其缺點包括:1天然氣是易燃、易爆氣體,整個供氣系統又不能保證"零"漏點,天然氣泄露在空氣中存在著安全隱患;2天然氣中含水和H2S,會腐蝕緊急氣動截斷閥供氣系統。
3、經濟效益評價
(1)氮氣瓶作為氣源年平均運行成本。由于集氣站內儀表風系統存在漏氣問題,平均每瓶氮氣使用周期僅為15d,按目前每瓶氮氣價格200元(含運輸費用),集氣站年平均運行320d計算,氮氣瓶供氣源年平均運行成本為4400元。
針對集氣站儀表風漏氣問題加強整改,結合有效管理,集氣站平均每瓶氮氣的使用周期將會提升。根據不同氮氣瓶使用周期,可得出不同氮氣瓶供氣源年平均運行成本(見表1)。
表1 不同工況下氮氣瓶供氣源年平均運行成本

(2)微型空氣壓縮機作為氣源年平均運行成本。根據目前集氣站緊急氣動截斷閥運行情況,V-0.1/15防爆型微型空氣壓縮機能夠滿足緊急氣動截斷閥的運行。增加微型空氣壓縮機設備購置費8700元(含干燥器、過濾器等配套設備),管線材料費用600元,施工費用2000元,年平均維護費用700元(過濾器等部件),若微型空氣壓縮機使用年限為15年,則年平均運行成本為1220元。
(3)集氣站內自用氣供氣源年平均運行成本。
安裝集氣站內天然氣儀表風氣源系統費用約為8000元(含測爆儀),主要為一次性投資,日常消耗氣量的費用可以忽略。
4、結語
(1)分析以上集氣站的3種儀表風氣源,可以認為3種方式都能持續、穩定地為站內儀表風系統提供氣源。
(2)從經濟方面考慮,站內天然氣作為儀表風氣源最為劃算。
(3)從安全、環保、經濟綜合角度考慮,微型空氣壓縮機供氣源作為集氣站儀表風氣源是可行的。