小孔流導測量方法的研究

2009-07-20 張滌新 蘭州物理研究所

1、引言

  在分子流條件下小孔流導值是恒定的,流導的大小與小孔的幾何形狀有關。對于幾何形狀規則的小孔,可通過理論計算得到流導值;而對于幾何形狀不規則的小孔,只能通過實驗的方法測量流導值。對于直徑僅有10μm的小孔來說,通過實驗測量小孔的流導值,可向真空系統提供已知的氣體流量,這對于氣體流量測量和真空處理工藝中流量的引人有著重要的意義。為此需要研究小孔流導的測量方法,測量小孔的流導值,以便提供準確的氣體流量。

  采用定容法氣體微流量校準裝置和恒壓法氣體微流量校準裝置分別測量了小孔的流導值。為了驗證小孔流導測量的準確性,在小孔一端分別充人氣體達到一定的壓力值,通過已測流導的小孔流出,向真空系統提供一定的流量。同時測量同一只真空漏孔的漏率值,比較了2種測量方法的一致性,得到了比較滿意的測量結果。

2、定容法測量小孔流導

2.1、定容法氣體微流量校準裝置

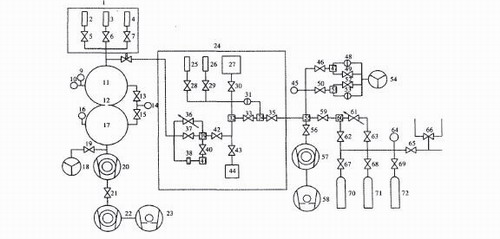
  定容法氣體微流量校準裝置由定容法流量計、流量比較系統、真空抽氣系統和測量與控制系統4部分組成,如圖1所示。定容式流量計由定容室、壓力測量單元、供氣系統、抽氣機組、針閥和截止閥等組成。流量比較系統采用了雙球形結構,在球的赤道法蘭上裝有真空規、四極質譜計、磁懸浮轉子規等。真空抽氣系統由主抽分子泵、輔抽分子泵、濺射離子泵、干泵、閥門等組成,采用了無油真空抽氣系統,校準室極限真空度為5.80 × 10 -8 Pa。

  定容法氣體微流量校準裝置可采用流量流人法、流量流出法和流導法對氣體微流量進行校準。流量流入法的校準范圍為(5×10-8~ 5×10-3) Pa·m3/s,合成標準不確定度為0.56%~0.75%。流量流出法校準范圍為(5×10-8~5×10-2) Pa·m3/s,合成標準不確定度為0.91%~1.50%。流導法校準范圍為(5×10-11~5×10-6)Pa·m3/s,合成標準不確定度為1.0%~1.6%。

1,24.恒溫箱;2,3,4,25,26.待校漏;5,6,7,8,28,29,30,33,35,37,40,42,43,46,49,50,
52,59,62,63,65,66,67,68,69.截止閥;9.分離規;10.四極質譜計;11.上球室;12.限流孔;13,15,19,21,56.角;14,45.磁懸浮轉子規;16.冷陰極規;17.下球室;18,54.濺射離子泵;20,22,57.分子泵;23,58.機械泵;27,32,34,39,41,47,51,55,60.定容室各體積;31.差壓電容薄膜規;36,61.針閥;38.流導小孔;44.標準體積;48,53.絕壓電容薄膜規;64.壓力表;70,71,72.氣瓶。


圖1 定容法氣體微流量校準裝置

2.2、定容法測量小孔流導的原理

     當溫度恒定時,在分子流條件下,某一種氣體通過小孔流出,這時小孔的流導值是恒定的,可用下式計算

 (1)

  式中c為小孔的流導,m3/s; Q為氣體通過孔的流量,Pa·m3/s; p、 p1,為分別為小孔兩側的氣體壓力,Pa。

  當孔兩側的氣體壓力P、P1之比大于1000倍時,P、P1之差可以用孔人氣口壓力P代替,可用133 Pa絕壓電容薄膜規測量。

  當用定容式流量計測量時,可用下式計算流量

(2)

  式中V為定容室體積,m3,用已知標準體積,根據氣體膨脹原理測量;t為測量時間,s,用計算機的內部時鐘測量。

  將式 (2) 代人式(1)可得

(3)

  邊界條件取t等于0時,p等于p0,解微分方程可得

(4)

  將式(4)改寫成式(5)可得

(5)

  式中 δp為在t時間內,定容室的壓力變化量,Pa,用圖1中的31差壓電容薄膜規測量。