差分抽氣系統的設計依據及真空系統配置

2009-04-04 丁洪斌 大連理工大學等離子體物理化學實驗室

分子束質譜差分抽氣系統設計的主導思想主要有兩方面:

        (1) 盡可能減少取樣過程中氣體分子所遭遇的附加碰撞。

        (2) 最大限度地縮短從采樣孔到四極質譜間的距離,以提高對痕量物種的分析靈敏度。如上節所述,被分析氣體經采樣孔、分流器及準直孔進入四極質譜計。把采樣孔與分流器之間的真空部分稱為1 區(相當于束源室) ,將分流器與準直孔之間的區域稱為2 區(相當于準直室) ,準直孔后四極質譜分析器和探測器所在的真空部分稱為3 區(相當于檢測室) 。為了盡可能減少取樣孔處氣體分子間的碰撞,采樣微孔應做成喇叭形,在取樣孔處的孔板厚度應盡可能小( ≤100μm) 。采樣微孔的直徑通常在50~500μm 之間,取決于氣體反應室的壓力及1 區真空泵的抽速。采樣孔與分流器之間的間距應作適當選擇,過近則引起渦流而在1 區造成附加碰撞,過遠則會降低分子束強度而導致分析靈敏度降低。

          在本設計中取分流器孔徑為1mm, 采樣微孔至分流器間距離為20mm 。以N2 為例,若室溫下分子熱運動平均自由程須大于20mm, 則氣體壓力應小于3 ×10-1Pa, 取此值作為1 區的工作壓力。為了提高整套裝置對微量組分的檢測靈敏度,必須使3 區(檢測室) 有盡可能低的極限工作壓力, 但同時又要兼顧取樣路徑不至因選用大抽速真空泵( 大尺寸) 而過長。渦輪分子泵具有抽速大、體積小、極限真空度高等優點,故成為分子束質譜裝置的首選泵型。

         綜合考慮檢測真空度要求、泵抽速、口徑等因素后的三級差分抽氣系統有關真空設計參數如表1 所示。其他參數條件:氣體反應室壓力為13300Pa; 采樣微孔直徑為0.3mm; 采樣微孔至分流器間距為20mm; 分流器孔直徑為110mm; 采樣微孔至四極質譜引入孔間距為300mm 。

表1  分子束質譜三級差分抽氣系統的極限及工作真空設計指標

 

下面將按三個差分抽氣區分別依上述要求討論渦輪分子泵的抽速選定及泵的配置。

一、1 區(束源室)

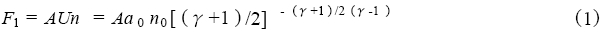
         實驗氣體經采樣微孔從氣體反應室(設計典型壓力值p0=13300Pa)進入1區,除極少量氣體經分流器進入2 區外,絕大部分由本區的抽氣系統抽走。按分子束氣體動力學理論,通過采樣微孔流入1區的氣體流量可用式(1)計算。

 

         式中U 是采樣微孔處Mach 數M =1 時的氣體流速; n 是M =1 時的氣體密度; A 可近似取采樣微孔的截面積; a0, n0 分別是氣源(氣體反應室) 的聲速和氣體密度, 氣源聲速a0 =(γkT0 m)1/2;γ= Cp/Cv是氣體克分子熱容比。

         取N2 作為實驗氣體,則γ=7/5,m =28 。取氣源溫度T0=300K, 采樣微孔直徑d0 =0.3mm, 計算得F1 =4 16 ×1019 molecules/s 或190Pa ·L/s 。以1 區設計工作壓力3 ×10-1Pa 作為1區分子泵進口壓力,則1 區配置抽速650L/s 即可,但考慮渦輪分子泵在較高工作壓力下實際抽速可能下降及為進一步提高氣體反應室工作壓力留有余地,選用目前國產最大抽速的1500L/s 渦輪分子泵( FB1500 型,北京科學儀器研制中心制造) 作為1 區用真空泵,其前級采用30L/s 抽速的機械泵(2X230 型,上海真空泵廠制造) 。