真空系統的主要參數選擇與計算

2013-04-29 巴德純 東北大學

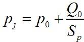
1、真空室(容器)的極限壓力

真空室(容器)的極限壓力

  pj-—真空室所能達到的極限壓力

  p0—真空泵的極限真空度

  Q0—空載時,長期抽氣后真空室的氣體負荷(包括漏氣、材料表面出氣等)

  Sp—真空室出氣口附近泵的有效抽速

  在設計真空系統時,漏氣量主要由真空室的極限真空和工作壓力來確定。一般選取低于工作狀態下氣體負荷(工藝生產中放出的氣體量)的十分之一。

真空裝置允許漏量

真空裝置允許漏量

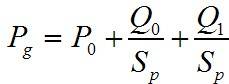
2、真空室的工作壓力

真空室的工作壓力

  Pg—真空室工作壓力

  Q1—工藝生產過程中真空室的氣體負荷

  從經濟方面考慮,最好在主泵的最大抽速和最大排氣量附近選擇工作壓力。一般工作壓力選擇在高于極限壓力一個數量級。各泵最佳工作范圍請見:各種真空泵的工作范圍一文。

3、真空室抽氣口處泵的有效抽速

真空室抽氣口處泵的有效抽速

真空室抽氣口處泵的有效抽速

  Sp—真空泵的抽速

  U—管道流導

  S—真空室抽氣口處的有效抽速

  當Sp為定值時,真空系統的有效抽速隨管道流導變化,如下圖。

真空系統的有效抽速隨管道流導變化