凍干機真空系統的性能指標設計計算

2009-03-19 徐成海 東北大學

         真空冷凍干燥機的真空系統特性主要應包括抽水蒸汽的能力, 凍干箱空載極限真空度和凍干箱出口處的有效抽速這3大指標。

        下面研究如何通過設計計算來保證實現這些性能要求。

凍干室的極限真空度

 

        式中P0為真空泵的極限真空度(Pa),Q0為空載時長期抽氣后凍干室的氣體負荷, 在Sp一定時,Q0決定了凍干室的空載極限真空度Pj, 通常,Q0可用凍干室的漏氣率來計算, 凍干室的漏氣率可以測量得到, 在設計時可根據經驗取為1(Pa·m3/s);SP為凍干室抽氣口附近泵的有效抽速(m3/s)。

         凍干室的極限真空度受抽氣口位置設計和測量點位置設計的影響。在大型凍干機中如果凍干室較長, 抽氣口又設計在凍干室的一端, 凍干室內就會出現壓強梯度, 各點的壓強值可用下式計算。

          式中,PX為距抽氣口X 處的壓強(Pa) ; P1為距抽氣口最近L1處的壓強(Pa),P1=qBL1/S; S 為X = 0處泵的有效抽速(m 3/s );q為凍干室壁的出氣速率(Pa·m 3/m 2·s);B為凍干室截面周長(m ) ;U 是長為L 的凍干室流導(m 3/s)。

          凍干室的極限真空度還受測點溫度的影響,因為P=nKT,如果凍干室內氣體分子數n 一定, 設在高溫處測點測得的壓強高, 設在低溫處測得的壓強低, 這一點應該引起設計者和用戶的注意。

         為提高凍干室的極限真空度, 縮小凍干室內的壓強梯度, 凍干室的抽氣口不應設在一端, 而應設在中間或開設多個抽氣口并聯。如果采用水蒸汽噴射泵抽氣, 又設計了貯氣罐,在正常工作時應該用閥門將貯氣罐截斷, 否則會影響凍干室內的真空度, 其影響程度可用公式計算。

 

          求出這兩個微分方程聯立解, 即可得到凍干室中壓強P1和貯氣罐中壓強P2。式中V1為凍干室容積,V2為貯氣罐容積, 凍干室與貯氣罐之間的流導為U , 在貯氣罐抽氣口處泵的抽速為S, 上兩式中忽略了兩個容器的漏氣和放氣。

凍干室抽氣口附近的有效抽速

         式中 SP為有效抽速(m 3/s ) , S為抽氣機組的有效抽速, U為真空室出口與機組入口間管道的流導(m 3/s)。一般, 高真空管道, 泵的抽速損失不應大于40%~60% , 低真空管道,其損失允許5%~10%。

         有捕水器的真空系統計算有效抽速比較復雜。在捕水器沒有工作之前, 應該將捕水器當成管道對待, 計算其通導能力; 在捕水器正常工作之后, 應該將捕水器當成氣體捕集式真空泵對待, 計算其有效抽速。捕水器的通導能力與結構有關, 而且是時間的函數。在捕水器正常工作后, 隨著抽氣時間增長, 霜層厚度增加, 其通導能力減小。捕水器的有效抽速是個相當復雜的問題, 它除與冷凝面積有關外, 還與前級泵抽速S、凝結系數A有關。A又與冷凝面溫度TK、被抽氣體溫度Tg、被抽氣體壓強Pg和冷凝面溫度下飽和水蒸汽壓強P0之比有關, 還與霜層厚度、泵的結構有關。粗算時可采用下式。

       式中 A為凝結系數, 可取0.5~0.85, Tg 和TK低時取大值, 反之亦然,AK為冷凝面的面積,D為霜層厚度。在抽氣過程Tg、TK和D都是變化的, 該式描述的是穩態過程, 只供參考。

真空系統抽水蒸汽的能力

         水蒸汽噴射泵抽水蒸汽的能力是泵的固有特性, 在水蒸汽噴射真空泵樣本中都有標注(見表1 中的說明)。

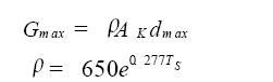
        捕水器抽水蒸汽的能力無法用每小時多少公斤來衡量, 只能用最大捕水量來表示。

 

        式中 Q為霜層密度, dmax為霜層最大厚度, 通常取小于10mm, TS為霜層表面溫度。

       凍干機真空系統的特性與設計、制造、安裝調試和使用維護都有關系。受篇幅限制, 這里對各種真空系統的常見故障及消除方法沒有闡述, 對其一次成本投資和運轉費用沒有探討。

其它相關:

  1. 直接抽水蒸汽真空泵組成的凍干機的真空系統
  2. 捕水器加真空泵組成的凍干機的真空系統
  3. 凍干機真空系統的性能指標設計計算