實驗用高溫高壓微型反應器的密封設計與應用

2014-10-04 任榮亭 中國石油大學(華東)機電裝備教學實習總廠

  針對石油加工、油品精制、催化劑評價等科研實驗研究的需要,選擇316 優質不銹鋼作為微型反應器的材質,選用石墨密封,以適應高溫高壓以及耐腐蝕的實驗環境。采用反扣施力擋圈和施力螺母共同作用使石墨墊片在被擠壓的過程中只承受擠壓力(即筒體只做直線擠壓,不旋轉擠壓),避免了墊片磨損,延長了墊片的使用壽命。

  高溫高壓微型反應器是一種應用廣泛的實驗室試驗儀器設備關鍵部件之一,主要用于石油加工、油品精制,催化劑評價等科研實驗設備中。這些科研實驗對反應器的耐壓耐溫性能要求很高, 而且實驗中會用到具有易燃易爆、強腐蝕性的酸堿等化學試劑。例如加氫裂化實驗中, 氫氣在實驗中的應用對反應器的安全可靠性提出了更高的要求。

  我們設計的這種高溫高壓微型反應器操作簡便,密封設計安全可靠,真空技術網(http://www.hzwlsy.com/)認為完全滿足實驗室的應用。主要技術要求如下:①工作溫度:常溫~450℃;②工作壓力:常壓~25MPa。

1、微型反應器結構及密封特點

  由于微型反應器的應用環境需要耐酸耐堿, 我們采用316 優質不銹鋼作為制造加工反應器的材質,反應器筒體采用316 不銹鋼無縫厚壁管。微型反應器裝配圖如圖1 所示。

微型反應器裝配圖

1-壓帽 2-石墨墊片 3-施力擋圈 4-施力螺套 5-反應器筒

圖1 微型反應器裝配圖

  根據工作溫度、工作壓力和工作環境的要求,我們選擇了密封墊片為石墨材質, 石墨墊片具有最大使用壓力可達:30MPa, 使用溫度范圍為:-200℃~650℃,適用介質廣泛如:熱水、蒸汽、油類、酸、堿、氨氣、氫氣、有機溶劑、碳氫化合物、低溫液體等的優點[4]。針對石墨墊片密封, 我們的微型反應器密封結構如圖2 所示。

密封頭結構放大圖

圖2 密封頭結構放大圖

  此種結構特點:

  (1)從圖中可看到05-反應器筒體端面車有一個楔形倒角,倒角角度控制在10~15 度范圍內,這樣在擠壓密封墊片時,石墨會沿著楔形方向越擠越緊,有利于密封。

  (2)在03-施力擋圈和04-施力螺套的共同作用下[6],筒體在擠壓墊片的過程中只做直線運動,不會旋轉。這種擠壓方式避免了磨損墊片,利于擠壓定型密封。

  (3)03-施力擋圈為反扣,防止施力擋圈隨著施力螺套一起旋轉。通過調節它在筒體的位置,可以控制墊片擠壓的程度。

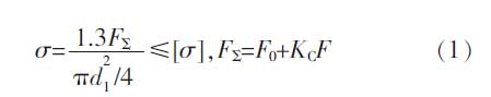
2、反應器壓帽螺紋承載能力校核

  受靜載荷作用的螺栓的失效多為螺紋部分的塑性變形或螺紋被強力拉斷所致,而螺紋聯接部件通常在螺紋底部斷裂損壞, 因此單個螺栓聯接的計算,主要是確定螺紋小徑d1,然后按標準選定大徑d 及其他尺寸。本裝置螺紋所受載荷為軸向靜載荷,其強度條件為:

螺紋所受載荷為軸向靜載荷

  式中FΣ———螺紋承受的軸向總拉力,mm;

  F0———預緊力,mm;

  F———工作載荷產生的拉力,N;

  d1———螺紋小徑,mm;

  [σ]———螺栓材料的許用應力,MPa;

  KC———螺栓聯接的相對剛性系數。

  已知d1=50mm,經計算FΣ=53 760N,可以得到σ=35.59<[σ]=133。因此,螺紋滿足強度要求。

3、微型反應器密封性試驗

  根據《壓力容器安全技術監察規程》,我們對微型反應器進行水壓試驗。試驗介質為水, 試驗壓力30MPa。實際壓力試驗曲線,如圖3 所示。經30MPa 壓力試驗,無滲漏、未見異常變形,無異常響聲,實驗結論合格。

實際壓力試驗曲線

圖3 實際壓力試驗曲線

4、微型反應器的應用

  該微型反應器已經應用于系列實驗室科研設備中, 如2011 年新疆大學的高溫高壓加氫裂化實驗裝置、2008 年中國石油大學(華東)的小型催化劑評價實驗裝置(即微型反應實驗裝置)、2007 年重質油研究所的加氫精制實驗裝置(即柴油加氫裝置)等。一直以來,使用中均未發生泄漏,密封可靠,性能穩定,操作簡便,深得使用者認可。

5、結束語

  從多套設備實際應用看, 這種微型反應器的密封設計安全可靠、結構簡單、操作方便,應用廣泛。非常適合實驗室的科研使用, 并且可以根據實驗處理量靈活簡便的設計制造出不同裝填量的系列微型反應器,以便在科研實驗中更進一步的研究應用。