密封間隙對磁流體密封能力的影響

2010-02-04 杭州應用工程技術學院

  磁流體(或叫磁性流體,英文名:Magneticfluid 或 Ferrofluid)是由0.1~100nm(納米)導磁微粒、分散劑和載體融合而成的膠體,具有許多特殊的功能,是目前國內外尖端的納米技術之一。

  由于磁流體有二大特點:①在磁場的作用下,磁化強度隨外加磁場的增加而增加,直止飽和,而外磁場去除后又無任何磁滯現象,磁場對磁流體的作用力表現為體積力。②與一般納米粒子相同,只有小尺寸效應、表面效應、量子尺寸效應和宏觀量子隧道效應。是動態密封理想材料。

  磁流體密封的基本原理是:當磁流體注入磁場間隙,可以充滿整個間隙,成了一系液體“O型密封圈",從而達到密封效果。磁流體密封裝置由無磁性座、磁極、永磁鐵、導磁軸和磁流體組成(見圖1)。

  磁流體動態密封主要有以下特點:

  ①密封性能好,幾乎無泄漏(<10-11Pa·m3/s),真空密封時的真空度可達10-5Pa。

  ②可靠性好,因為釹鐵硼材料的磁損小于5%/100年,又幾乎沒有機械磨損。

  ③機械傳輸效率很高,可達99%,幾乎無功率損失。

  目前磁流體密封裝置已在許多設備上使用,例如在單晶硅爐、真空熱處理爐、離子濺射、物理化學氣相沉積、離子鍍膜、液晶在生、電子指示器等設備的密封,以及計算機硬盤、機器人及軍工產品等環境要求較高的設備的環境密封,獲得了很好的經濟效益。

  由于密封機理和磁流體本身的復雜性,影響密封能力的因素較多,主要有磁流體的性能(如磁飽和強度、粘度等物理化學磁學性能)、磁極極齒的結構參數、磁場大小及分布、工作條件(如溫度、載荷等)、密封間隙等。對于間隙的影響,有人曾經做過研究,一般認為間隙越小,密封能力越強,但沒有考慮轉速、零件加工誤差和裝配誤差等因素。

1.磁流體密封能力的理論計算

  磁流體在磁場中的行為遵循擴展的貝努利方程:

  其中u為流速;ρK為外力;p*為壓力;ηs 為磁流體的粘度;H為磁場強度。

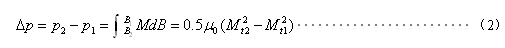
  根據圖2可知,氣體把磁流體從11'推到22',同時從22'到44'位置所做的功,等于磁流體從磁場強度為B1處移到B2處的能量,由此可推得在靜態時每級磁流體密封圈能受的壓力為:

  式中μ0為真空中的導磁率;B2,B1為磁流體二側的磁感應強度;M為磁流體的磁化強度;Mt2,Mt1為磁流體二側的磁化強度的切向分量。


  考慮到間隙處的磁場強度相當高,比磁流體的飽和磁化強度Ms高得多,所以2)式可以簡化為:

 

  很明顯從(3)式可以看出,磁流體密封能力只與飽和磁化強度和磁感應強度有關,而與工作間隙無關。這與實驗結果及實際情況不符合。