油擴散泵抽氣速率與被抽氣體的關系

2009-10-08 李殿東 蘭州真空設備有限責任公司

  目前許多真空方面的工具書和企業產品樣本中認為油擴散泵具有“對各種氣體無選擇性”[1]的特點, 基至有學者認為油擴散泵“對所有的氣體抽氣速率為常數”[2](constant pumping speed for all gases)。這種觀點使大多數工程技術人員在設計油擴散泵抽空機組時沒有考慮被抽氣體的特點, 以油擴散泵對標準狀態下的空氣或者氮氣的抽氣速率來確定。通常情況下這種計算假設是允許的,但是對特殊氣體來說,例如真空鍍膜工藝中經常用到的氧、氬等氣體, 油擴散泵對它們的抽氣速率是不同的, 要計算或者測試油擴散泵對該氣體的抽氣速率, 否則會有較大的偏差。國內某研究所進行氙離子火箭發動機點火試驗過程中,發現在5×10-3Pa壓力下對空氣具有20000L/s有效抽速(在該壓力點抽氣量為100Pa·L/s)的2套K-800TD高真空油擴散泵三級抽空機組不能滿足抽除84 Pa·L/s氙氣的要求。經過排障和多次試驗后, 結果一樣, 說明油擴散泵對氙氣的抽氣速率在同等條件下大大小于泵對空氣的抽氣速率,因此有必要來分析油擴散泵對不同氣體的抽氣速率的差異。

  王欲知先生撰寫的《真空技術[3]一書中曾引用前蘇聯的文獻來說明油擴散泵的實際特性與氣體種類有關, 并給出了“各種氣體的抽速比值”。油擴散泵對氣體的抽氣速率宏觀表象包括泵自身對氣體的抽氣速率、氣體分子運動到抽氣界面的能力和真空容器之間的流導等方面。下面就從這三個方面進行分析、討論。

1、油蒸汽流泵的抽速表達式

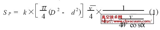
  油擴散泵中實際的物理過程是十分復雜的, 要進行嚴格的計算非常困難, 因此人們通過合理的簡化, 構建近似的模型進行計算。王銘樸、張先生在上世紀八十年代根據德國學者亞開耳《汽流高真空抽氣機的理論》二次近似計算的比抽速表達式, 考慮了擴散面積和噴嘴角度對抽氣速率的影響, 推導出了油擴散泵在最佳抽氣速率時的噴嘴出口直徑和噴嘴角度的近似計算公式, 見《油蒸汽流泵的抽速表達式》[4]。文中認為: 油蒸汽流泵的抽氣過程, 可以認為主要由氣體余弦定律以及油蒸汽沿氣體流動方向(一般為泵體軸線方向) 的分速度來控制, 同時忽略小部分氣體返流現象, 從而得出如下公式

式中SP——油蒸汽流泵泵口抽氣速率
 k ——修正系數, 對油擴散泵k=0. 7~0. 85
 D ——泵口內徑
 d ——一級噴嘴出口外徑
 vl——被抽氣體分子平均熱運動速度
 W ——油蒸汽流噴射速度
 A——油蒸汽流轉折后與泵壁的夾角
 R ——摩爾氣體常數
 T ——熱力學溫度
 M ——氣體摩爾質量

2、根據油蒸汽流泵抽速表達式計算的結果

  常規參數的具體值: 溫度為293K, A為40°、50°和60°, 標準狀態下常用氣體分子平均熱運動速度見表1。根據已知參數W計算出為200、300 和400m/s油擴散泵對不同氣體與空氣抽氣速率的比值SP/S 空氣, 其中400m/s 時的計算比值用于和蘭州物理所數據的比較。表1中摘錄了王欲知先生撰寫的《真空技術》中“各種氣體的抽速比較”和蘭州物理研究所編寫的《真空設計手冊》(第三版)中“蒸汽流泵對不同種類氣體的理論抽速”的數據。需要指出的是,《真空技術》中沒有給出計算公式, 引用的是1975年《MNP》中的數據(詳見書中“參考資料”) ;《真空設計手冊》中引用的抽速表達式與公式(1) 基本相同,只是沒有cosA。

從數據可以看出:

 、 油擴散泵的抽氣速率與氣體種類有關, 即對不同氣體其抽氣速率是不同的。

  ② 公式(1)忽略了小部分返流氣體的影響, 因此除氫、氦這兩種分子量小、易于反擴散氣體的計算值和《真空技術》的數據偏差較大外, 其余氣體的計算結果基本吻合(氬的數據偏差太大, 估計引用有誤)。

 、 由于存在的cosA差異, 計算結果和《真空設計手冊》的數據差別較大。

 、 當油蒸汽流噴射速度W為固定值、油蒸汽流轉折后與泵壁的夾角A為變化值時, 計算數據變化不大。

 、 當A為固定值、W為變化值時, 計算數據變化較大。

 、 象氫這樣小分子量的氣體, 單個分子的動能是油蒸汽單個分子動能的2.6% , 因此易于被油蒸汽射流抽走。但是, 由于氫易于反擴散, 使得抽氣速率降低。對于大分子量氣體的分子直徑約為擴散泵油分子直徑的40%~50% (如Kr、Xe) , 同時單個氣體分子的質量也增大, 動能增大到擴散泵油蒸汽分子動能的20%,勢必對油蒸汽射流產生影響, 不利于抽空, 因此油擴散泵對氣體抽氣速率的實測值比計算值小。