渦輪分子泵電源制動單元的研究

2013-06-05 何毅 國投南光有限公司

  研究了渦輪分子泵電源制動單元的設計、制動功率和制動電阻的計算方法。為渦輪分子泵選用理想制動電阻提供依據。根據此設計和計算方法為我公司生產的FD系列渦輪分子泵電源選用了最佳的制動電阻,使渦輪分子泵的停車減速時間大為縮短,該泵的性能和效率顯著提高。

  渦輪分子泵是一種靠渦輪高速運轉來獲得真空的產品。驅動渦輪旋轉的一般為高速異步電動機,其轉速高達15000~90000 r/min。由于渦輪的轉動慣量大,受渦輪葉片的強度及剛度限制,渦輪分子泵必須從低速到高速緩慢啟動。同樣從高速降速停機也必須緩慢降速。渦輪分子泵電源實際上是一臺專用的變頻調速器。對其加速時間和減速時間的設定將直接影響渦輪分子泵的性能和壽命。

  渦輪分子泵在其安全的減速時間內停車有兩種方式。一種是自由運轉方式停車, 即電動機依靠負載慣性自由運轉至停止。但因渦輪分子泵的工作環境和運行特性,一般在這種停車方式下需要很長的減速停車時間,通常需要1~2 h減速停車時間。另一種是減速煞車方式停車, 即渦輪分子泵電源根據安全的減速停車時間設定減速時間,電動機在其減速時間內減速停車。不同型號的渦輪分子泵有不同的減速停車時間,主要是由渦輪慣量大小而定。

  渦輪分子泵在其安全的減速時間內,以減速煞車方式停車時,如何合理地設計制動單元,配備制動電阻,將關系到渦輪分子泵電源及渦輪分子泵自身安全可靠地使用。

1、制動單元的設計

  渦輪分子泵以減速煞車方式停車時,由于慣性,電動機運行頻率大于渦輪分子泵電源的輸出頻率,此時電動機運行于發電狀態。負載的動能由電機轉換成電能,并通過該電源的逆變橋IGBT管的反并聯二極管回饋到直流回路,如圖1 所示。

分子泵電源主回路

圖1 分子泵電源主回路

  由于渦輪分子泵的渦輪慣量較大,回饋能量使電容難以吸收,在此情況就需要使用制動單元。由制動單元監測直流回路電壓,控制制動電阻的通斷,形成一個斬波電路,如圖1虛框所示,使其消耗電機回饋的電能。

  制動單元的框圖如圖2所示,制動單元通過監測變頻調速器的直流回路電壓,從而控制開關管使制動電阻工作。該單元包括電壓比較器、放大器、制動晶體管和制動電阻。

制動單元框圖

圖2 制動單元框圖

1.1、制動單元電路設計

  筆者為渦輪分子泵電源設計了一種制動單元如圖3所示,該電路的工作原理如下。

制動單元電路圖

圖3 制動單元電路圖

  設UDC為電容C兩端電壓,電壓比較電路直接檢測該電壓,當被測值超過設定允許值時,電壓比較器翻轉,輸出端接近0 V,經邏輯轉換后,觸發制動單元的Vb導通。電容上的電荷經電阻R釋放,使電壓降低。反之,當該電壓低于設定允許值時,電壓比較器翻轉回原先狀態,輸出端為高電平,經邏輯轉換后關斷Vb

1.2、制動單元電路的計算

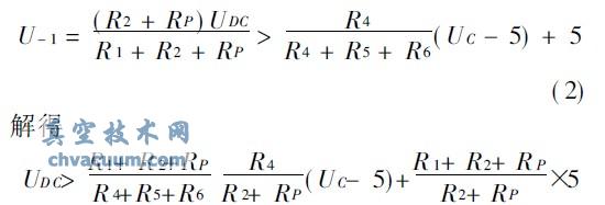
  在電壓比較器翻轉前, 正端的電位為

制動單元電路的計算

  為了使比較器翻轉, 比較器的負端輸入電壓U-1必須高于正端電壓U+1,因此有

制動單元電路的計算

  一旦式(3) 滿足, 電壓比較器翻轉, 輸出接近0V。此時正端的電壓為

制動單元電路的計算

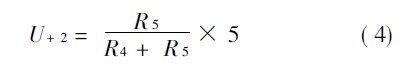
  僅當比較器的負端輸入電壓U-2低于正端電壓U+2時, 電壓比較器才會恢復到翻轉前的狀態,因此有

制動單元電路的計算

  設渦輪分子泵電源供電電壓為交流220±15%V , 則整流后電容上的最大直流電壓為

制動單元電路的計算

  為了使渦輪分子泵電源在上述電網波動條件下仍能正常運行, 制動單元的動作閥值必須大于358 V。假定制動單元在≥390 V 時動作, 而在361V 時停止, 可求出制動單元的元件參數, 此時電壓比較器的滯環特性如圖4所示。

比較器的電壓滯環特性

圖4 比較器的電壓滯環特性

  令電壓滯環比為K,則

K = U+1/U+2 = 390V/361V = 1.08 ( 8)

  設U+2= 4.8 V,則U+1=1.08×U+2= 5.2 V。設電源電壓UC=15 V, 取R4= 2 k8, 由式(4) 求得R5= 48 k歐 , 依電阻規格取47 k歐 。又由式(1) 求得R6= 51 k歐。