面積比原理在潛水泵設計中的應用研究

2009-11-10 魏清順 山西農業大學

  潛水泵是應用最廣泛的通用機械,不僅用于工業,還用于廣大農村。隨著農村電氣化的發展,從生活用水到農田灌溉,潛水泵已成為必不可少的工具。它的使用量大面廣,為了擴大使用范圍,本文提出一種基于面積比原理的水泵設計方法。潛水泵的性能主要是由葉輪和導流器兩方面決定的,高效率的泵不但要求高效的葉輪,而且還需要與葉輪良好匹配的導流器,如果導流器不適配,不僅降低泵的效率,而且還會在一定程度上影響泵性能的穩定 。H H Anderson提出了離心泵的面積比原理,指出葉輪出口過流面積與泵體喉部面積之比是泵揚程、流量、軸功率等參數的主要決定因素。R CWorster首次用數學方法證明了H H Anderson所提出的面積比原理的科學性 。

  我國從20世紀80年代初開始引進面積比原理也曾有人運用面積比原理對現有泵進行分析,但研究工作還不夠深入,為此,本文提出一種基于面積比原理的水泵設計方法,即在保持面積比系數不變的條件下,對同一導流器選配不同的葉輪以獲得不同參數的高效水泵。并通過試驗研究和數值模擬對該方法進行驗證。

1、面積比原理的理論

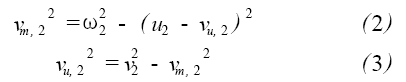
  在水泵葉輪設計中,一般假設葉輪進口無預旋,即vu,1=0,則水泵的基本方程式為:

式中HT ———泵的理論揚程, m
  u2 ———葉輪出口圓周速度, m/s
  v u, 2 ———葉輪出口水流絕對速度的圓周分量, m/s

  根據葉輪出口速度三角形可知:

  假設葉輪出口到導流器的喉部這一過渡區無任何水力損失, 則有v2 = vt , 將式(2)代入式(3)得:

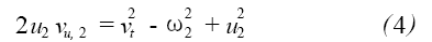
  葉輪將能量傳遞給液體, 導流器收集從葉輪流出的液體并將液體導出。導流器對液體不增加任何的能量,但影響泵的運行工況點和最高效率點。葉輪與導流器的耦合應遵守液體流動的連續性方程,則有:

式中v t ———導流器喉部水流速度, m/s
  Fth ———導流器喉部面積, mm2
  ω2 ———葉輪出口葉片間的相對速度, m/s
  F2 ———葉輪出口葉片間面積, mm2

  將式(5)改寫為:

  式中Y———面積比系數

  將式(4)、(6)代入式(1) ,得泵的理論揚程與面積比系數的關系式為:

  可見,要獲得較高的水泵揚程,應使面積比系數Y≤1。

  張俊達對166種泵的水力模型面積比系數進行了統計和回歸,并繪制出了面積比系數與泵比轉數的關系曲線,得出絕大部分泵的面積比系數Y≤1,進一步證明了上述研究結論是正確的。郭自杰推導出了面積比系數與比轉數的近似表達式,并對大量離心泵的面積比系數進行了統計,數據表明它們的面積比系數Y≤1。據此,本文提出了在保持面積比系數不變的條件下,對同一導流器通過選配葉輪來獲得高效水泵。

2、測試裝置與試驗研究

  為了研究面積比系數對潛水泵性能的影響,用井用潛水泵做試驗。對同一導流器分別選配2種葉輪,在蘭州理工大學開式試驗臺上進行測試,試驗時電動機不變只更換泵。為了保證吸入區不發生氣蝕和漩渦,葉輪在水下有足夠的淹沒深度。電動機的輸入功率采用電測法測定,電動機效率按銘牌上的效率估算。取250QJ125型潛水泵進行試驗,在保持導流器喉部面積與葉輪出口葉片間的面積之比即面積比系數Y=0.87不變的前提下,重新設計一個葉輪Ⅱ,將此葉輪裝在該潛水泵的導流器上進行試驗。選配2種不同葉輪的潛水泵,它們各自的最佳工況點實測數據如表1所示。

表1 最佳工況點實測值

最佳工況點實測值

葉輪出口葉片間面積示意圖 導流器喉部面積示意

圖1 葉輪出口葉片間面積示意圖2 導流器喉部面積示意

表2 葉輪出口葉片間面積和導流器喉部

葉輪出口葉片間面積和導流器喉部

  為了確保試驗數據的可靠性,作者對葉輪出口葉片間的面積和導流器喉部面積進行了實測。圖1、2為葉輪出口葉片間面積和導流器喉部面積的確定方法,表2為實測結果。從表2中可以看出:兩個水泵面積比系數稍有偏差,這是由零件加工誤差造成的。在導流器不變的情況下選配不同葉輪,只要保持面積比系數不變,完全可以得到一種高效率的潛水泵。